自考题库
首页
所有科目
自考历年真题
考试分类
关于本站
游客
账号设置
退出登录
注册
登录
出自:初级中学教师资格证
简述班级组织的社会化功能。
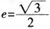
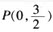
设椭圆的中心在原点,焦点在x轴上,离心率
。已知点
到这个椭圆上的点的最远距离为
,求这个椭圆方程。
诺贝尔物理学奖获得者杨振宁高度赞扬一位科学家,指出他的“新眼光改变了基础物理的发展进程。”其理论“宏伟、美妙、广邃,催生了令人敬畏的宇宙学„„”杨振宁所赞扬的科学家是()
A:牛顿
B:瓦特
C:普朗克
D:爱因斯坦
小刘老怀疑自己的手脏,所以一天不停地洗手,这属于( )。
A:强迫观念
B:强迫行为
C:强迫考虑
D:强迫焦虑
“虽然远航的目的是寻找黄金,但客观上却取得了地理上的重大发现,它不仅发现了美洲这块‘新大陆’,而且通过实地考察探明了地球上的海洋是相通的,证明了地球是圆形的,这对科学的发展和人们宇宙观念的更新具有重要意义。”材料突出反映了新航路的开辟()
A:把美洲纳入世界大家庭
B:有助于近代自然科学的兴起
C:导致了欧洲资本主义的产生
D:导致了世界市场的最后形成
德育过程的构成要素包括()。
A:教育者、受教育者
B:教育者、受教育者、德育内容
C:教育者、受教育者、德育内容、德育方法
D:教育者、受教育者、德育环境
某学生违反校规校纪,受到一个处分,经过一段时间教育,发现该生表现越来越好,为了巩固其良好行为,学校撤销了处分,这种做法在心理学上叫()。
A:消退
B:抑制
C:负强化
D:正强化
以下不可以作为信息载体的是()。
A:声音
B:汽车
C:光盘
D:视频影像
班主任以教育目的为指导思想.以“学生守则”为基本依据,对学生一个学期内在学习、劳动、生活、品行等方面进行小结与评价。这项工作是()。
A:建立学生档案
B:班主任工作总结
C:班主任工作计划
D:操行评定
“太阳和月亮有着同一母亲,她的名字叫光明;汉族和藏族拥有同一母亲,她的名字叫中国。”这句歌词体现的道理是()①西藏是中国领土不可分割的一部分②我国全体公民都能自觉履行维护民族团结的义务③我国各族人民都能感受到祖国大家庭的温暖④我国各族人民共同缔造了伟大的祖国
A:①②③
B:①②④
C:①③④
D:②③④
根据遗忘规律,试述避免遗忘的主要复习方法。
中小学教师应当具备的知识方面的素养要求就是指对学科专业知识的精通。
近代某思想家说:“凡君主专制、立宪和民主三法,必当一一循序行之,若紊其序,则必大乱„„然则必欲予民权自由,何必定出于革命乎?”在此,该思想家()
A:反对进行政治改革
B:属于地主阶级洋务派
C:主张进行社会改良
D:强调革命的必要性
某高二学生王超,学习成绩不好,守纪情况也差,一天在教学楼内玩球,故意将一个价值三百元的吊灯打坏,学校在查明事实经过后,依据学校有关“损坏公务要赔偿和罚款”的规章制度,对王超作出三点处理决定:一是给予警告处分;二是照价赔偿吊灯;三是罚款三百元。 对此做法。你认为是否妥当?为什么?
简述布卢姆的教学目标分类。
把网络202.112.78.0(子网掩码是255.255.255.192)划分为多个子网,设子网和主机地址全为0、1的均不用,则各子网中可用的主机地址总数是()。
A:254
B:252
C:126
D:124
所谓“自我反思”是指()
A:是教师作为专业人员之间的交往、互助与合作
B:是研究者以叙事、讲故事的方式,表达对教育的理解和解释
C:是指教师把自己日常所从事的教育教学活动作为思考和研究对象
神经系统对代谢的调节属于()。
A:细胞调节水平
B:器官调节水平
C:整体调节水平
D:无氧代谢的调节
如果一个人在K城市乱扔垃圾就会被认为没有道德;一个人如果没有道德,K城市里就没有人和他做朋友;一个人如果在K城市没有朋友就寸步难行,无法继续留在这里。根据以上叙述,可以推出()。
A:如果一个人道德修养很高,那么他就能留在K城市
B:一个人在D城市乱扔垃圾但是仍然可以留在K城市
C:小王没有留在K城市说明他缺乏道德修养
D:生活在K城市的小李在过马路时将西瓜皮扔在地上,那么他将难以再留在K城市
西方传统的经济学把( )看作生产的三要素。
A:土地
B:劳动
C:人力
D:资本
教师成为研究者,应该具备的素养有()
A:养成终身学习的习惯
B:自我反思和批判的能力
C:有对教育教学改进的热情,有教育研究意识
D:独立的研究精神
E:掌握教育教学研究的基本方法
()鲜明地体现了基础教育的本质属性和基本特征。
A:素质教育
B:应试教育
C:德育
D:智育
据英官方材料,在1837年7月到1838年6月,中国从英国(包括印度)的进口总值是560万镑,其中鸦片占60%。这年中国对英国的输出总值是310万英镑。对这种情况理解
不正确
的是()
A:鸦片是英国对华贸易的主要商品
B:英国在中英贸易中处于出超地位
C:英国正常贸易中处于逆差地位
D:英国将中国变为工业品倾销市场
在探索政府购买社会组织服务新模式的过程中,青岛社会组织创新园简化登记,给予场地与资金支持,全力构建社会组织成长平台,社会组织参与社会管理和公共服务的效果日益凸显。如果要报道这一做法,最恰当的主题是()
A:取消行政审批提高政府效能
B:强化权力制衡规范政府的行为
C:加强执法监督科学文明执法
D:转变政府职能建设服务型政府
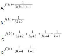
已知
,则f(k+1)=()。
A:A
B:B
C:C
D:D
我国水田农业主要分布在年降水量()
A:400毫米以上的地区
B:200毫米以上的地区
C:800毫米以上的地区
D:600毫米以上的地区
中国国际数码互动娱乐高峰论坛上,国家新闻出版广电总局领导人发表题为“以创新开拓中国网络游戏出版产业健康繁荣发展新局面”的主题讲话,要求持续推动中国网络游戏产业健康繁荣发展。中国网络游戏产业健康繁荣发展需要()①弘扬主旋律,发挥先进文化的导向和示范作用②积极创造文明健康的网络环境③限制市场在文化产业发展中的作用④加强对网络文化建设的管理和引导
A:①②④
B:②③④
C:①③④
D:①②③
生态系统的碳循环过程如下图所示,请分析并回答下列问题:
(1)碳在_________和_________之间的循环,称作碳循环。 (2)大气中的二氧化碳通过植物的_________作用进入生物群落,并以_________的形式在不同营养级间传递。 (3)生物体中的碳几乎都要通过生物的_________作用以_________的形式返回无机环境中。 (4)近年来由于人类大量开采利用图中的[A]_________使得大气中的CO含量逐渐增加,形成了_________,已成为全球环境问题之一。
有多少爱可以重来“晚风轻拂澎湖湾,白浪逐沙滩……夜深黄昏的沙滩上,有着脚印两对半……”--题记①三年前的考场门口,外婆拍拍我的头,从怀里慢慢掏出一个桃子说:“青青,加油!”那一刻,我没有掉头。②三年后的今天,我手上拿着临走时妈妈塞给我的桃子在考场门口张望,却始终无法找到那个在为我守候的熟悉的身影。③猛然想起,外婆已经走了好久好久。④依稀记得,外婆会变戏法,总是能从怀里掏出我想要的东西,像芝麻糖、蚕豆、果冻,而最多的则是桃子。⑤我爱吃桃子,却从未对外婆说过“谢谢”!⑥妈妈说过:“青青,外婆从来舍不得吃桃子,都留给你吃了,你将来要好好对外婆。”每每于此时,我就跑到外婆跟前说:“外婆,你老了,我养你!”外婆笑了,笑得眼框里都盈满了泪水。⑦后来,我上了初中,面对更加沉重的学业负担,去外婆家的次数也越来越少,顶多外婆偶尔来我家几趟,但一看到我在做作业,便不忍打挠,放下桃子就走了。⑧外婆病重时,我正忙于期中考试,当我拿着“期中考试第一名”的奖状赶回家时,看到那么多人围着外婆,我手上的奖状顿时掉在地上,我猛地跪在外婆床前,轻声地呼唤她。妈妈拾起奖状,拉着我的手说:“外婆一直在等你!”看到我,外婆慢慢地从怀里掏出一个东西,那是一只红艳艳的桃子!⑨外婆笑了,我却哭了,哭得泪流满面。外婆的眼睛慢慢闭上了。任凭我的哭声在屋内回荡,她却始终没能再看一眼她最舍不得的青青!⑩今天,我肩负着妈妈的嘱托、爸爸的期望、老师的祝福,还有外婆的守候坐在考场上答卷。我相信我不会让他们失望。有些事,错过了就是永远;有些人,一转身就是一辈子。不要忽略任何爱,哪怕只是一个小小的桃子,因为毕竟有没有多少爱能够从头再来呢? 问题:1.请从第⑥⑦段中找出两个错别字,从第⑩段中找出一处病句,并分别改正。2.请指出该习作的优点,并结合内容具体分析。
阅读下面一段教学案例(节选),回答后面的问题。 1.辩论主题确定前,动员班干部,商讨辩论主题是否符合学生自身特点。经班委会共同协商,一致通过,最终将"中学生上网的利与弊"确定为本次辩论会的主题。 2.将辩论主题公布于众,发动全班每名同学为主题献策(要求每人分别提供一条利大于弊、弊大于利的论据)。 3.充分利用班委及团干部的组织能力,分别到图书馆、书店、网上查找与本次主题有关的内容,作为组织者也应积极参与到资料的查找搜寻中去。 4.充分发挥学生的主体作用,经一周左右的查找与整理,找到与本次主题相关内容数十条,帮助学生筛选组织这些材料,作为本次辩论会的主体内容。 5.召集正反双方辩手,利用课余时间学习辩论技巧。 6.在辩论赛举行前两三天进行一次辩论程序的演练。 问题:以上案例片段是某高中语文教师为《走上辩台--上网利弊谈》一课所做的课前活动准备,请指出其存在的问题,并提出修改建议。
首页
<上一页
795
796
797
798
799
下一页>
尾页