出自:经济学

根据微观经济学的观点,以下哪一项可以用于分析连续博弈模型:()
A:空间树
B:逻辑数
C:博弈树
D:进化树
试比较进口替代与出口替代工业化道路的异同,并探讨发展中国家如何选择适合本国国情的工业化战略。
车船税是对在我国境内车船管理部门登记的车辆、船舶依法从价定额征收的一种税。
义务教育属于什么类型的物品()。
A:私人物品
B:公共物品
C:垄断物品
D:公共资源
效用价值论
导致企业消失的最本质因素是()
A:违背了诚信原则
B:通货膨胀
C:违背了商业社会不可或缺的契约精神
D:经济危机
某项目现金流量如表所示,基准收益率为12%,该项目财务净现值为()万元。
A:39.52
B:101.39
C:43.20
D:35.53
保险的基本要素包括()、()、()、()和()。
经济型流动人口的流向呈现:()、梯度流、()和跨洋流四种情况。
简述经济计量模型检验的三大原则。
运输导向型企业,通过()确定企业选址,选址地点使运输总成本最()
对分布滞后模型直接采用普通最小二乘法估计参数时,会遇到的困难有()。
A:无法估计无限分布滞后模型参数
B:难以预先确定最大滞后长度
C:滞后期长而样本小时缺乏足够自由度
D:滞后的解释变量存在序列相关问题
E:解释变量间存在多重共线性问题

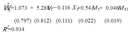
据20年的年度样本资料,得到如下的劳动力薪金模型
其中,Wt=劳动力人均薪金,V=岗位空缺率,X=就业人员人均国内生产总值,Mt=出口额,Mt-1=上年出口额(括号内的数字为标准误,计算结果保留三位小数)。



第1题,共3个问题
(简答题)引进变量X的原理为何?理论上,X的系数符号应为正还是负。

第2题,共3个问题
(简答题)哪些变量可从模型中删去。[t0.025(15)=2.131]

第3题,共3个问题
(简答题)检验回归模型的总显著性,[F0.05(4,15)=3.06]
产品产量最优组合决策的理论方法和使用方法之间的关系是什么?
高层次技术是指高技术本身的(),是现阶段的()和(),而不是一般的()和()
亚当斯密认为市场资源配置的基础是()
A:自由劳动
B:政府调配
C:法律维护
D:习惯
农业资金具有()性、()性、()性、增值性。
房地产经济宏观调控的目标主要有().
A:加强对房地产经济的行政管理
B:实现房地产经济的总量平衡
C:优化房地产产业结构,提高资源配置效率
D:强化间接的经济调控手段
E:更好地满足生产建设和居民生活消费的需要
工资率上升有收入效应和替代效应,两者的作用方向相反。如果工资率一直增长到使收入效应起主要作用,则劳动供给曲线将:()
A:向上倾斜
B:垂直
C:向下倾斜
D:向后弯折
卡米恩和施瓦茨认为在()条件下,因缺乏竞争对手的威胁,不容易引起重大的技术创新。
A:完全垄断
B:完全竞争
C:垄断竞争
D:寡头垄断
TSS,RSS,ESS的自由度如何计算?直观含义是什么?
认为纵向一体化可以降低交易成本是()学派的观点.
A:新制度学派
B:芝加哥学派
C:哈佛学派
D:新奥地利学派
总需求
一国的投资()。
A:仅仅来源于国民储蓄
B:来源于政府的预算赤字
C:仅仅来源于向世界其他国家借款
D:来源于国民储蓄和向世界其他国家借款两部分
设某消费者的效用函数为柯布道格拉斯类型的,即U=xαyβ,商品x和商品y的价格分别为Px和Py,消费者的收入为M,α和β为常数,且α+β=1。 (1)求该消费者关于商品x和商品y的需求函数。 (2)证明当商品x和y的价格以及消费者的收入同时变动一个比例时,消费者对两商品的需求关系维持不变。 (3)证明消费者效用函数中的参数α和β分别为商品x和商品y的消费支出占消费者收入的份额。
餐饮市场细分的外在条件是()
A:顾客需求的异质性
B:顾客需求的同质性
C:企业资源的有限性
D:市场竞争的激烈性
发展生产力,归根到底是为了解放生产力。
企业实行差别定价应该满足什么条件?
如果需求曲线是线性的,沿着需求曲线的弹性不变吗?哪一部分会富有弹性,哪一部分会缺乏弹性?为什么?
西方经济学是如何解释失业的? 失业的影响表现在哪些方面?