出自:初级中学教师资格证

下图表示生物新物种形成的基本环节,对图示分析正确的是()。
A:a表示基因突变和基因重组,是生物进化的原材料
B:b表示生殖隔离,生殖隔离是生物进化的标志
C:c表示新物种形成,新物种与生活环境共同进化
D:d表示地理隔离,新物种形成一定需要地理隔离
我国第四个南极科学考察站-泰山站(73°51′S,76°58′E)于2014年2月8日正式建成开站。下图示意某科考队员当日拍摄的一天太阳运动轨迹合成图。读图回答下列各题。 次日泰山站()。
A:日出正南
B:太阳高度变大
C:白昼变短
D:极昼即将开始
安德森的产生式迁移理论是( )的现代翻版。
A:关系转换说
B:经验内化说
C:共同要素说
D:形式训练说
法律实施和实现的基本途径是()。
A:守法
B:立法
C:执法
D:司法
两物体A、B,如图连接且处于静止状态,已知MA=2MB,A物体和地面的动摩擦因数为μ。现在给B上加一个水平力F,使物体B缓慢移动,物体A始终静止,则此过程中有()。
A:物体A对地面的压力逐渐变小
B:物体A受到的摩擦力不变
C:绳的拉力逐渐变小
D:地面对A的作用力不变
“我们敢说日常所见的人中,十分之九都是他们的教育所决定的。”这一观点出自洛克的()
A:《大教学论》
B:《教育漫话》
C:《爱弥尔》
D:《普通教育学》
某国际问题研究专家指出:“世界正从根本上发生改变……这些根本性变化中,最重要的一个因素就是,地缘政治权势与地缘经济实力正在同时从发达国家向发展中国家、从西方向东方转移。”材料主要反映出()。
A:当今世界呈现“一超多强”的政治格局
B:民族解放运动的潮流方兴未艾
C:广大发展中国家在国际格局中举足轻重
D:世界格局多极化趋势日益加强
古代“六艺”——“礼、乐、射、御、书、数”中的“御”是指()。
A:骑马
B:杂技
C:驾车
D:防御
隋唐时期,造纸、冶铜、制棉等行业出现了行会,并有公推的长老,对内掌管行务,对外负责处理与其他行业及官府之间的关系,配合政府维持市场秩序。这反映了隋唐时期手工业()
A:行业经营由官府计划
B:突破了政府管理
C:注重加强与市场联系
D:部门间联系减弱
如何理解教师主导作用于学生主动性辩证统一规律?

在夏夜星空的某一区域,有7颗明亮的星星:A星、B星、C星、D星、E星、F星、G星,它们由北至南排列成一条直线。同时发现:
(1)C星与E星相邻;
(2)B星与F星相邻;
(3)F星与C星相邻;
(4)A星在F星北侧某个位置。



第1题,共2个问题
(单选题)据此,7颗星由北至南的顺序不可以是()。
A:A星、B星、F星、C星、E星、D星、G星
B:A星、B星、F星、C星、E星、G星、D星
C:A星、E星、C星、B星、F星、D星、G星
D:A星、E星、C星、F星、B星、G星、D星

第2题,共2个问题
(单选题)假定G不与B相邻但与最南侧的某星相邻,可以推出位于正中的星是()。
A:B星
B:C星
C:E星
D:F星
北京时间2009年12月17日消息:据英国《每日邮报》报道,天文学家发现一颗绕昏暗恒星运转的类地行星,距地球仅40光年。它是一个热气腾腾的"水世界",体积是地球的6倍。据推测,这个"水世界"同样拥有大气层,且75%的表面区域被水覆盖,但由于温度太高,它无法支持地球型生命的存在。结合材料回答下列问题。

第1题,共2个问题
(单选题)"水世界"类地行星所在的天体系统是()。
A:地月系
B:太阳系
C:银河系
D:河外星系

第2题,共2个问题
(单选题)天文学家推测"水世界"类地行星无法支持地球型生命存在的主要依据是()。
A:该行星陆地体积狭小
B:该行星不存在大气层
C:该行星距离太阳太近
D:该行星距离恒星太近
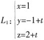
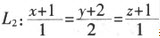
求与直线及直线都平行且经过坐标原点的平面方程。
明成祖永乐二年(1404年)“下令禁民间海船,原有海船者悉改为平头船(一种无法远航的船)所在有司,防其出入”。此规定是为了()
A:严禁商人下海贸易
B:限制沿海对外贸易
C:减轻百姓造船负担
D:规范船只制作标准
教师在讲到《爱莲说》中“予独爱莲之出淤泥而不染”中“之”的用法时,特举出以下例子,让学生找出与句中的“之”用法相同的一项()。
A:予尝求古仁人之心,或异二者之为,何哉?(《岳阳楼记》)
B:马之千里者,一食或尽粟一石。(《马说》)
C:无丝竹之乱耳,无案牍之劳形。(《陋室铭》)
D:顷之,一狼径去,其一犬坐于前。(《狼》)
被历代民间画工和士大夫誉为"画圣"和"画祖"的唐代画家是()。
A:阎立本
B:吴道子
C:张萱
D:张择端
教育心理学的研究对象是什么?
自唐初至武后时期,主要派遣御史监军。玄宗开始,改派宦官监军,一方面派宦官担任出征军队的都监,一方面在各藩镇设置监军使,以监护将帅,控制军队。这一变化反映了()
A:监察体系的不断完善
B:军事指挥系统的紊乱
C:地方割据势力的削弱
D:中央权势集团的消长
明清时期以徽商为代表的富商大贾广结政界要人,宴请送礼,主动“捐帑”、“报效”。„„或以捐纳的方式,谋一“功名”虚衔以求保护,更将希望寄托于子孙后裔“光宗耀祖”,投资科举,以摆脱“贱籍”。这反映出()
A:官商勾结是徽商崛起的重要原因
B:明清富商大贾难成社会革新的力量
C:获取功名是富商大贾经商的最终目的
D:明清商帮势力强大
20世纪50年代中后期,中共中央提出“多、快、好、省”建设社会主义,即希望以较快的速度、较高的质量、较少的成本来取得较多的成果。但实际执行中往往只注意了其中的①“多”②“快”③“好”④“省”()
A:①②
B:①④
C:②③
D:③④
在Excel中,设置Al单元格的数字格式为整数,当输入3.14时,单元格显示为()
A:3.14
B:3
C:4
D:ERROR
不受教学计划和学校围墙的限制,凡是符合教育要求、有利于学生的身心发展的活动都可以创造条件组织开展,说的是课外活动的()特点。
A:灵活性
B:开放性
C:兴趣性
D:自主性
“桃李不言,下自成蹊”这句话所体现的德育方法是( )。
A:说服教育法
B:锻炼法
C:陶冶法
D:榜样示范法
1935年底,受蒋介石指派负责国共两党秘密接触事宜的是()
A:陈果夫
B:陈立夫
C:张冲
D:邓文仪
适用于介绍具有非时间性联系的事理知识的是( )
A:横向叙述
B:纵向叙述
C:交叉叙述
D:描述性叙述
衡量教师教学和学生学习质量的标准是( )
A:教学计划
B:教学大纲
C:教科书
D:考试成绩
在幻灯片放映方式的设置中,默认的放映方式是()
A:观众自行浏览(窗口)
B:演讲者放映(全屏幕)
C:在展台浏览(全屏幕)
D:循环放映
19世纪中期俄国的改革和日本的明治维新均属于资产阶级性质的改革,其主要依据是()
A:两国的改革都是在内忧外患的背景下进行的
B:两国的改革都是采取自上而下的形式
C:改革使两国都保留了大量的封建残余
D:改革使两国都走上了资本主义发展道路
情境教学法
“中书主民,枢密主兵,三司主财,各不相知”的权力分散局面出现在()
A:秦朝
B:隋唐
C:宋朝
D:明清