自考题库
首页
所有科目
自考历年真题
考试分类
关于本站
游客
账号设置
退出登录
注册
登录
出自:计算机科学
下列关于[多维子对象(Multi/Sub-Object)]材质叙述
不正确
的是()。
A:该材质可以自定义子材质球的数量
B:该材质是按照对象的ID号来分配材质的
C:该材质里中的ID号是不能修改的
D:该材质的ID号和场景中被赋予该材质物体的ID号是一一对应
在工具箱里的都是()
A:标准控件
B:外部控件
C:ActiveX控件
D:可插入对象(OLE)
函数的CHRTRANC("abcde!","abc","xy")的值是()。
A:abcde!
B:xyde!
C:xycde!
D:abcxyde!
部件家族(Part Families)是用于定义几何形状配置完全相同,而尺寸大小不同的系列零件。
char型变量中能不能存贮一个中文汉字?为什么?
GetMessage()函数在什么情况下返回0从而导致消息循环终止程序结束。
数据库概念模式产生于数据库系统设计的()阶段。
A:规划
B:需求分析
C:概念设计
D:逻辑设计
Photoshop中的路径可以输出到Illustrator中进行应用吗?
构成面向对象模型的基本元素有类、对象、类与类之间的关系等。
下列代码段中试图用try-catch-catch结构捕获和处理异常,其中有的地方是错误的,请将错误的地方纠正过来。
对于有向图,顶点的度分为入度和出度,以该顶点为终点的边数目叫();以该顶点为起点的边数目叫()。
手机作为IPTV业务的终端设备必须具备处理和显示数字视频信号的能力,一般用于移动IPTV业务。
简述计算机动画技术。
需要安装硒鼓和炭粉才能在打印纸上打印出文字或图像的打印机是()。
A:针式打印机
B:激光打印机
C:压电喷墨式打印机
D:热喷墨式打印机
Word 2003中文版中,建立新文档的方法()。
A:单击【开始】按扭,选择“开始菜单”中的【新建Office文档】
B:单击Alt键
C:单击F4键
D:启动Word 2003中文版,再单击文件菜单中的【新建】命令
()描述系统应该具备的功能。
A:用例视图(分析阶段)
B:逻辑视图(设计阶段)
C:组件视图
D:部署视图
假设表达式有单字母变量和双目四则运算符构成。试写一个算法,将一个通常书写形式且书写正确的表达式转换为逆波兰表达式。
IP地址由一组()的二进制数组成。
A:4位
B:8位
C:16位
D:32位
影响软件代码效率的因素有哪些?
设多项式
为GF(2)上分组长度为15的一个循环码的生成多项式。
第1题,共5个问题
(简答题)求生成矩阵G。
第2题,共5个问题
(简答题)试求奇偶校验矩阵H。
第3题,共5个问题
(简答题)这个码能检测多少个错误?
第4题,共5个问题
(简答题)请问这个码能纠多少个错误?
第5题,共5个问题
(简答题)将生成矩阵写成系统型。
()与计算机的计算精度密切相关。
A:字节
B:处理速度
C:字长
D:存储容量
8255A方式选择控制字中D0表示PC3-PC0工作在输入还是输出,当其值为1时,表示PC3-PC0工作在()。
A:输入
B:输出
C:即输入又输出
D:既不输入也不输出
软件生存周期过程中,修改错误代价最大的阶段是()。
A:需求阶段
B:设计阶段
C:编程阶段
D:发布运行阶段
采样频率越低,所需要的信息储存量也越多。
请简述自身阴影的生成方式。
HttpServlet是定义在()套件之中。
A:javax.servlet
B:javax.servlet.http
C:java.http
D:javax.http
每次把待排序的区间划分为左、右两个子区间,其中左区间中记录的关键字均小于等于基准记录的关键字,右区间中记录的关键字均大于等于基准记录的关键字,这种排序称为()。
A:堆排序
B:归并排序
C:插入排序
D:快速排序
下列有关EXCEL中公式叙述正确的有:()
A:Excel中的公式包括三个部分:“=”、操作符、引用的单元格
B:Excel中公式中“=”中的“=”号就是表示赋值
C:用户还可以使用EXCEL提供的公式编辑器来输入公式
D:以上选项都正确
下列操作中,可以应用于背景图层的是()
A:调整图层的顺序
B:添加图层蒙板
C:创建快速蒙板
D:添加图层样式
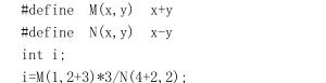
下列程序段执行后,i=()
首页
<上一页
418
419
420
421
422
下一页>
尾页