自考题库
首页
所有科目
自考历年真题
考试分类
关于本站
游客
账号设置
退出登录
注册
登录
出自:初级中学教师资格证
以下对教学过程基本特点的表述,错误的是()
A:间接经验与直接经验相结合
B:掌握知识与发展智力相结合
C:教学过程是知、情、意、行的统一
D:教师主导作用与学生能动性相结合
四种深入提问是升华性提问、突出相邻阶段的论点、澄清与总结、角色扮演问题与策略。
《标志设计》课拟让学生了解标志的分类与构成,不合适的教学行为是()。
A:关注例题,讲解标志设计过程
B:学生互相讨论、交流
C:欣赏中外优秀标志
D:讲解中外标志发展历史
教师在进行生物实验教学前,需要做一些教学准备,
不包括
()。
A:准备好实验材料
B:准备好实验教学辅助教具
C:进行预试
D:让学生做好实验预习
美国国会议员的来源分为两部分,参议员由各州议会选出。众议员由各州人民选出。这体现了()
A:联邦与民主相统一
B:共和与联邦相统一
C:分权与制衡相统一
D:集权与分权相统一
美术教师在设定教学目标之际,要从哪几方面进行思考()。 ①明确希望学生达到怎样的目标(教学目标) ②教师对学生传递了什么信息,学生通过学习会有什么收获(教学内容) ③采用怎样的教学方法,对教材、课题的选择有帮助(教学方法) ④所设定的目标是否有利于评价(教学评价)
A:①②③
B:①②③④
C:②③④
D:②③
儿童有不知足、不安全、忧虑、退缩、怀疑、不喜欢与同伴交往等特点是在( )教养方式下形成的。
A:放纵型
B:专制型
C:民主型
D:自由型
阅读《苏州园林》教学案例,按要求回答问题。苏州园林与故宫是我国古代建筑艺术上的两颗奇葩,一南一北,风格迥异,极具代表性,但又都是我国劳动人民智慧和血汗的结晶,在备课《苏州园林》一课时,教师灵光一现,心想何不将本文与《故宫博物院》进行比较阅读,这样一来,既能让学生对中国古代建筑有更完整的认识,又能让他们学习两种风格截然不同的写法。在课堂上教师对二者进行比较后写下了如下文字:“一个是富商的私人花园,一个是皇家理事生活的宫室殿堂:一个面积小,力求于浅处造深意,一个规模惊人,似‘非壮无以重威’;一个是景中造景,小中见大,变化无穷,一个是大致相同的建筑不断重复,在同中求异。(这段文字展示后,学生们跃跃欲试,纷纷也用这样的句式进行描述)生:一个崇尚自然朴素,强调诗情画意:一个尽显皇家威仪,体现森严的等级制度和传统的封建礼制。生:一是曲折而自由的布局,用足每一寸园地,一是庭院式的组群布局,一庭一院一片新景;一个绝不讲究对称,一个严格均衡对称:一个用假山池沼花木等创生意盎然之理想境界,一个以汉白玉栏杆雕狮等添琼楼仙阙之非凡气象;一个色彩淡雅,给人一种清凉感,一个使用彩绘,增建筑活泼和生趣;一个如文人花鸟画,生动灵巧,一个像中国画长卷,美不胜收。对上述教学案例的评价,
不正确
的是()。
A:该教师能够对文本进行对比教学,富有创新精神
B:该教师将写作训练穿插在阅读教学中,收到了良好的效果
C:既体现了师生共同学习,又能带动学生的学习热情
D:该教师喧宾夺主,使学生的练习拘泥于教师的模板中,没有体现出学生的主体地位
教师讲授朗读技巧时,教师为了让学生理解变调问题,让学生从以下选项中选出和"一样"中"一"读音相同的一项,其中符合要求的一项是()。
A:管一管
B:一成
C:统一
D:一块儿
已知四棱锥P-ABCD,它的底面是边长为a的菱形,且∠ABC=120°,PC⊥平面ABCD,又PC=a,E为PA的中点。
(1)求证:平面EBD⊥平面ABCD; (2)求点E到平面PBC的距离; (3)求二面角A-BE-D的大小。
思想开小差是注意的()。
A:分散
B:转移
C:动摇
D:起伏
校园文化属于一种()
A:隐性课程
B:显性课程
C:学科课程
D:学校课程
从文本角度,思想品德课的内容主要包括()。
A:课程标准和教材
B:课程标准和教科书
C:教材和教室
D:课本和练习册
《未成年人保护法(修订稿)》中规定:“未成年人不得擅自约见网友;未成年人不得沉迷网络和电子游戏。”此规定的内容更多的强调的是()。
A:对未成年人的社会保护
B:对未成年人的家庭保护
C:未成年人要加强自我保护
D:对未成年人的司法保护
“‘冷战’格局是人类社会在应对现代性矛盾和危机过程中依据不同的政治理念追求不同的发展目标所导致的制度性裂变。”材料认为“冷战”格局形成的主要原因是()
A:社会制度与意识形态差异
B:战时同盟解体
C:美苏两国争夺世界霸权
D:国家实力变化
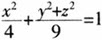
旋转曲面
是()。
A:xOy平面上椭圆绕y轴旋转成的椭球面
B:xOy平面上椭圆绕x轴旋转成的椭球面
C:xOz平面上椭圆绕y轴旋转成的椭球面
D:xOz平面上椭圆绕z轴旋转成的椭球面
胰岛素和胰高血糖素在人体血糖平衡的调节过程中起着重要作用。下列相关叙述中,
不正确
的是()。
A:胰岛素是由胰岛A细胞分泌的一种激素
B:胰岛素具有降低血糖的作用
C:胰岛素和胰高血糖素表现为相互拮抗
D:胰岛素能促进血糖合成糖原
在教育活动中,教师负责组织引导学生沿着正确的方向,采用科学的方法,获得良好的发展,这句话的意思是()
A:学生在教育活动中是被动的客体
B:教师在教育活动中是被动的客体
C:教师在教育活动中发挥主导作用
D:学生在教育活动中发挥主导作用
教师应当有意识地对学生进行爱国主义、民族团结教育、法制教育,弘扬中华民族精神。具体体现了教师义务中的()。
A:遵守宪法、法律和职业道德
B:履行教育教学职责
C:促进学生全面发展
D:按照法律规定的内容进行教学和组织活动
辅导过程中,来访者集中精力沉浸在思绪和感受之中,因而出现了沉默,这属于()。
A:自发性沉默
B:冲突性沉默
C:尴尬性沉默
D:创造性沉默
把双缝干涉实验装置放在折射率为n的水中,两缝间距离为d,双缝到屏的距离为D(D>>d),所用单色光在真空中的波长为A,则屏上干涉条纹中相邻的明纹之间的距离是()。
A:λD/nd
B:λnD/d
C:λd/nD
D:D/2nd
班主任在班级管理中最适合的领导方式是()。
体育教学评价主要环节
不包括
()。
A:教学设计
B:内容选择
C:组织实施
D:场地器材
不属于
我国中学德育的主要途径的是()。
A:政治课与其他学科教学
B:学校共青团、少先队活动
C:班主任工作
D:体育竞赛
世界上最早的一部专门论述教育教学的专著是()
A:《论语》
B:《学记》
C:《师说》
D:《中庸》
在教育、教学或学习计划实施的前期阶段所开展的评价,被称为()。
A:形成性评价
B:总结性评价
C:诊断性评价
1939年,明确提出以马克思主义为指导,主编《教育学》的教育家是()。
A:凯洛夫
B:赞可夫
C:布鲁纳
D:维果茨基
情景教学法的首创者是( )
A:倪谷音
B:李吉林
C:邱学华
D:刘京海
小学生自我评价的发展特点表现为()。
A:从顺从他人评价发展到有独立见解的自我评价
B:自我评价的稳定性逐渐增强
C:自我评价以抽象性为主
D:从比较笼统的评价发展到对自己个别方面或多方面行为的优缺点评价
E:开始出现对内心品质进行评价的初步倾向
教育法规的失效是指()
A:教育法规失去效力
B:教育法规无溯及力
C:教育法规不被人遵守
D:教育法规的遗忘
首页
<上一页
394
395
396
397
398
下一页>
尾页