自考题库
首页
所有科目
自考历年真题
考试分类
关于本站
游客
账号设置
退出登录
注册
登录
出自:电气工程公共基础
欲得到频率稳定度高的矩形波,应选择()电路。
A:RC振荡器
B:石英振荡器
C:单稳态触发器
D:施密特触发器
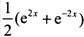
下列函数中,不是
的原函数的是()。
A:
B:
C:
D:
一台50Hz的变压器接到60Hz的电网上,外时电压的大小不变,激磁电流将()。
A:增加
B:减小
C:不变.
下面选项中,属于面向对象的程序设计语言是()。
A:LISP
B:C++
C:C
D:BASIC
常用的7段发光数码管有哪两种类型()。
A:共发射极
B:共集电极
C:共阴极
D:共阳极
在电价低的供电线路上,擅自接用电价高的用电设备或私自改变用电类别的,应按实际使用日期补交其差额电费,并承担( )差额电费的违约使用电费,使用日期难以确定的,实际使用时间按三倍计算
A:一倍
B:二倍
C:三倍
D:五倍
用二进制异步计数器从0做加法,计到十进制数178,则最少需要()个触发器。
A:1
B:6
C:8
D:10
下列各点中为二元函数z=x3-y3-3x2+3y-9x的极值点的是()。
A:(3,-1)
B:(3,1)
C:(1,1)
D:(-1,-1)
基数R=16的数制为十六进制,十六进制有()等十六个数码。
A:0
B:10
C:E
D:G
交流电和直流电有何区别?
无线宽带接入技术包括()。
A:本地多点分配业务(LMDS)
B:Wi-Max技术
C:Bluetooth技术
D:Wlan技术
液流在管路中的损失有几种?哪几种?
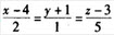
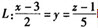
过点(4,-1,3)且平行于直线
的直线方程为().
A:
B:
C:
D:
设α,β,γ均为三维列向量,以这三个向量为列构成的3阶方阵记为A,即A=(αβγ)。若α,β,γ所组成的向量组线性相关,则|A|的值是()。
A:大于0
B:等于0
C:大于0
D:无法确定
组合逻辑电路的分析步骤是()。1、根据最简输出函数表达式画出逻辑图2、列出真值表3、写出逻辑表达式并化简4、电路功能描述逻辑抽象
A:1、2、3、4
B:4、3、2、1
C:4、2、3、1
D:4、1、2、3
在操作系统中,设备管理的首要任务是()。
A:为所管理的设备提供驱动程序或控制程序
B:帮助用户了解设备的技术细节
C:告诉用户计算机系统中有哪些设备
D:测试设备的性能。
以下关于结束项目的活动说法有误的是()。
A:结束项目时,需达到阶段或项目完工或退出标准的所有行动和活动。
B:结束项目时,向下一阶段或生产运营部门移交产品、服务和成果
C:结束项目时,收集记录和审核成败并不算是重要的环节
D:结束项目时,需收集经验教训和存档项目信息
不属于
CMOS逻辑电路优点的提法是()。
A:输出高低电平理想
B:电源适用范围宽
C:抗干扰能力强
D:电流驱动能力强
目前微型计算机中常用的鼠标器有()两类。
A:电动式和半机械式
B:光电式和机械式
C:光电式和半机械式
D:电动式和机械式
《安全生产法》对安全生产危险性较大的行业进行了规定“矿山、建筑施工单位和危险物品的生产、经营、储存单位,应当()。”
A:配备兼职安全生产管理人员
B:设置安全生产管理机构或者配备专职安全生产管理人员
C:视其从业人员的规模来确定是否设置安全生产管理机构
D:配备专职或兼职安全生产管理人员
球面x2+y2+z2=14在点(1,2,3)处的切平面方程是().
A:(x-1)+2(y-2)-(z-3)=0
B:(x+1)+2(y+2)+3(z+3)=0
C:(x-1)+2(y-2)+3(z-3)=0
D:(x+1)+2(y+2)-(z+3)=0
用3个D触发器组成的电路如图7-69所示,触发器F0的输入端接+5V表明D0=1,那么,在第1个CP脉冲和第2个脉冲的上升沿过后Q2Q1Q0分别是()。
A:101和011
B:011和111
C:001和011
D:000和111
把模拟量转换成相应数字量的转换器件称为()。
A:A/D转换器
B:D/A转换器
C:ADC
D:DAC
关于电压比测量下列说法正确的是()。
A:双电压表法较变比电桥法测出的结果不确定度小。
B:双电压表示测量时可用三相电源,也可用单相电源。
C:变比电桥法测量时可用三相电源,也可用单相电源。
D:双电压表法或变比电桥法测量的试验中均使用单相电源。
设A,B均为n阶非零矩阵,且AB=0,则RA,RB满足()。
A:必有一个等于0
B:都小于n
C:一个小于n,一个等于n
D:都等于n
下列关于信号的说法,
不正确
的是()。
A:信号是信息的表现形式
B:时间信号可分为连续时间信号和数字信号
C:信号可分为周期信号和非周期信号
D:声音和图像都是信息
变压器短路试验后重复绝缘试验应按原额定耐压值的()进行试验。
A:80%
B:90%
C:100%
D:85%
物质的用途与其化学性质有关的是()
A:铝作导线
B:石墨作铅笔芯
C:氢气作燃料
D:干冰用于人工降雨
已知下列相同浓度的盐的pH值,由大到小的顺序是KA、KB、KC、KD(A、B、C、D都为弱酸根),则各对应的酸在同温度下,解离常数最大的是()。
A:HA
B:HB
C:HC
D:HD
如图4-60所示均质圆盘放在光滑水平面上受力F作用,则质心C的运动为()。
A:直线
B:曲线
C:不动
D:不确定
首页
<上一页
96
97
98
99
100
下一页>
尾页