自考题库
首页
所有科目
自考历年真题
考试分类
关于本站
游客
账号设置
退出登录
注册
登录
出自:电气工程公共基础
设事件A,B满足P(A)=0.2,,则P(AB)等于().
A:0.08
B:0.12
C:0.2
D:0.4
根据击穿方电的成因可分为_________、_________、_________三种形式
摇测带护层电缆的护层绝缘电阻时应使用( )的摇表。
A:500V
B:1000V
C:2500V
如果两个偏振片堆叠在一起,且偏振化方向之间夹角为60°,假设二者对光无吸收,光强为I0的自然光垂直入射到偏振片上,则出射光强为()。
A:
B:
C:
D:
TOG开放群组中国分会的主要使命是()。
A:引进国际企业架构,SOA参考架构,分布式系统管理,软件可靠性等标准
B:提供企业架构及SOA参考架构推广、培训、及认证工作
C:协助中加企业以企业架构YOG及SOA参考架构推动业务规划及信息化建设工作
D:帮助企业进行具体的信息化建设工作
在现场利用变压器箱体进行真空干燥实验,箱体最易变形凹陷,停止继续抽真空是当箱壳变形达到()时。
A:箱壳钢板厚度的2倍;
B:箱壳钢板厚度的3倍;
C:箱壳钢板厚度的1倍;
D:箱壳钢板厚度的4倍。
GB1094.2-1996中规定,油浸式变压器连续额定容量稳态下的温升限制规定,绕组的平均温升为()。
A:50K
B:55K
C:60K
D:65K
下列选项中,不符合质量指标体系的特性是()。
A:安全性
B:可用性
C:完整性
D:保密性
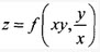
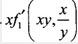
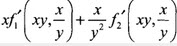
设f(u,ν)具有一阶连续导数,
,则
等于()。
A:
B:
C:
D:
变压器铁心绝缘损坏会造成什么后果?
若一个元素位于第三周期,则当它处于基态时,其原子的价层电子()。
A:只有s电子和p电子
B:只有p电子和d电子
C:有s、p和d电子
D:有s、p、d、f电子
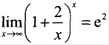
下列有关极限的计算中,错误的是()。
A:
B:
C:
D:
变压器的空载试验应在施加()情况下测量。
A:额定电压
B:1/4额定电压
C:1/2额定电压
D:最低80%额定电压
以下哪项是ITSS通用要求的能力四要素()。
A:资源研究人员组织
B:战略资源人员技术
C:资源技术人员流程
D:战备研究组织资源
电子数字计算机最主要的工作特点是()。
A:高速度
B:高精度
C:记忆力强
D:存储程序与自动控制
微分方程y"=x+sinx的通解是()(C1、C2为任意常数)。
A:
B:
C:
D:
已知D://|x|+|y|≤1,D1:x≥0,y≥0,x+y≤1,
则()。
A:I=J
B:I=2J
C:I=3J
D:I=4J
=()。
A:π
B:2π
C:3π
D:
设A,B,C为三个事件,则表示().
A:三个事件全发生
B:三个事件全不发生
C:三个事件不全发生
D:至少有一个事件发生
变压器铁心多点接地,可能出现在哪几个部位?
如果某项目生产经营期的第一年出现亏损,则该项目在此年可以免缴()。
A:增值税
B:营业税
C:销项税
D:所得税
大型变压器做负载损耗测量时,一般采用()的方法,以减小测量误差。
A:一瓦特表
B:两瓦特表
C:三瓦特表
D:四瓦特表
建设项目经济费用效益分析使用的影子价格的正确含义是()。
A:政府为保证国计民生为项目核定的指导价格
B:使项目产出品更具竞争力的价格
C:反映项目投入物和产出物真实经济价值的价格
D:为扶助贫困人口特别提供的优惠价格
下列关于路由器说法正确的是()。
A:路由器是互联网的主要节点设备
B:转发策略称为路由选择,也路由器名称的由来
C:路由器通过路由决定数据的转发
D:路由器构成了intemet的骨架
电子邮件是()。
A:网络信息检索服务
B:通过Web网页发布的公告信息
C:通过网络实时交互的信息传递方式
D:一种利用网络交换信息的非交互式服务
变压器正式投入运行前为什么要做空载冲击试验?
某医院欲新建一办公大楼,该办公大楼由某城建集团承包建造,则施工许可证应由()申领。
A:医院
B:城建集团
C:城建集团分包商
D:医院或城建集团
油浸式变压器,对于油箱高度小于2.5米的变压器,规定轮廓线应位于油箱高度的()的水平面上。
A:1/2
B:1/3
C:2/3
D:1/4
极限
的值是().
A:0
B:1
C:t
D:不存在
焦数
首页
<上一页
93
94
95
96
97
下一页>
尾页