出自:经济学

简述增加土地经济供给的措施?
当政府遇到什么情况时增加货币数量不会改变经济发展状况?()
A:流动性陷阱
B:黄金储备不足
C:国家信誉低
D:利率水平高
发展中国家存在的就业问题主要有()
A:受过教育的人的失业似乎更严重
B:青年失业率高
C:存在很多的隐蔽性失业
D:失业者从此再也找不到工作
E:有些国家存在童工问题
国家对贸易宏观调空与国家读一宏观经济调空的关系是什么?
简述西方国家城市化过程中所产生的问题的体现
什么是计量经济学?它与经济学、统计学和数学的关系怎样?
简述卫生服务总费用及其变化趋势。
广义的消耗包括什么?
课税会使纳税人()储蓄。
A:增加
B:减少
C:维持不变
D:相对增加
由赫克歇尔和俄林提出的国际贸易理论是()
A:绝对优势理论
B:比较优势理论
C:保护贸易理论
D:要素禀赋理论
教育投资经济效益
发展消费信贷对个人消费—储蓄的影响为()
A:减少即期消费
B:增加即期消费
C:降低储蓄
D:增加储蓄
E:没有任何作用
以下参数中属于国民经济评价的参数有()。
A:官方汇率
B:行业基准收益率
C:影子汇率
D:社会贴现率
E:影子工资换算系数
法定准备率高低和存款种类的关系,一般说来是()。
A:定期存款的准备率要高于活期存款的准备率
B:定期存款的准备率要低于活期存款
C:准备率高低和存款期限无关
D:以上几种情况都存在
某冶炼厂欲投资建一储水设施,有两个方案:A方案是在厂内建一个水塔,造价102万元,年运营费2万元,每隔10年大修1次的费用10万元;B方案是在厂外不远处的小山上建一储水池,造价83万元,年运营费2万元,每个8年大修1次的费用10万元。另外,方案B还需购置一套附加设备,购置费9.5万元,寿命20年,20年末的残值为0.5万元,年运行费1万元。该厂的基准收益率为7%。问:

第1题,共2个问题
(简答题)储水设施计划使用40年,任何一个方案在寿命期末均无残值,那个方案为优?

第2题,共2个问题
(简答题)若永久性的使用储水设施,那个方案为优?
设生产函数为Q=1.01L0.8K0.5,该生产函数属于()
A:A规模报酬不变
B:B规模报酬递增
C:C规模报酬递减
D:D以上都不正确
假设消费函数C=400+0.8Y,投资函数I=300-50r,政府购买G=200,货币需求函数L=300+0.5Y-100r,实际货币供给M=1500(单位均为亿元),试求: (1)两个市场同时均衡时的均衡收入。 (2)财政政策乘数和货币政策乘数。
经济增长的最简单定义就是国内生产总值的增加和社会福利的增加以及个人福利的增加。
简述运输在空间上地域内部交通区位线的分布规律。
教育对人才培养和劳动力训练的主要作用是()
A:提高劳动者劳动熟练程度
B:提高人才专业化水平
C:提高劳动力报酬
D:提高劳动力的质量和改变劳动力形态
什么是货币创造乘数?其大小主要和哪些变量有关?
已知样本回归模型残差的一阶自相关系数接近于-1,则DW统计量近似等于()。
A:0
B:1
C:2
D:4
国土资源评价应遵循的原则有:()
A:分析的客观性,注重国土资源的优劣两个方面
B:善于比较
C:对资源的优势要从静态考虑
D:对资源的优势要从动态中考虑
E:重视区域内外资源的相互作用
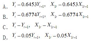
已知模型的形式为Yt01X1t+ut,在用实际数据对模型的参数进行估计的时候,测得DW统计量为0.6453,则广义差分变量是()
A:A
B:B
C:C
D:D
消费者运动兴起的标志是()
A:法制的健全
B:政府积极发挥作用
C:社会公众发挥作用
D:建立消费者组织
当差额投资内部收益率>社会折现率时,较优的方案是()。
A:投资大的方案
B:投资小的方案
C:折现期长的方案
D:折现期短的方案
一国政府宏观经济管理政策追求的经济增长是()。
A:经济的适度增长
B:经济的高增长
C:经济的低增长
D:经济的不增长
资本主义企业生产的商品的实际生产费用等于()
A:c+v
B:v+m
C:c+v+m
D:c+v+p
经济人假设

2004年秋季,上海某演出公司策划一场歌星演唱会,演唱会拟定在上海万人体育馆内举行。演唱会一旦举行,成本开支几乎是完全可以预算的:歌星及乐队的出场费、招待费(包括餐饮、住宿、交通等开支)、场地租借费、安保费、工作人员加班费等。
演出公司估计,尽管到时市里有韩国电影周等活动,但凭所请几位歌星的影响力,出票数有望至少达到6000张。当然,场内位置不同,票价也不同,但按平均票价计算,出票数达到4800张便正好与演唱会的成本持平。因此,演唱会盈利是很有把握的。
刚到演出公司实习的经济系大学生周星看了演出策划书后有些困惑:每增加一个观众的票价收入是公司的边际收益,这时的边际成本是多少呢?按照MR=MC的原则,理想的观众人数是多少呢?周星回校向微观经济学的教师求救,教师的一番话解开了周星的困惑。



第1题,共1个问题
(简答题)该教师应该是怎样分析的呢?