自考题库
首页
所有科目
自考历年真题
考试分类
关于本站
游客
账号设置
退出登录
注册
登录
出自:电气工程公共基础
表征sf6气体理化特性的下列各项中,( )项是错的
A:无色、无味
B:无臭、无毒
C:可燃
D:惰性气体,化学性质稳定
电厂锅炉给水泵采用()。
A:单级单吸离心泵;
B:单级双吸离心泵;
C:分段式多级离心泵;
D:轴流泵。
理想流体是()。
A:无黏性流体
B:不可压缩流体
C:符合牛顿内摩擦定律的流体
D:静止的流体
黄铜是以锌为主加入元素的铜合金,含铜80%的普通黄铜牌号为()。
A:T80;
B:80;
C:X80;
D:H80。
操作冲击电压测量时,测量操作冲击波形时间参数的总不确定度为±5%范围内。()
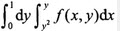
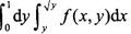
二次积分
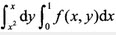
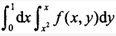
交换积分次序后的二次积分是()。
A:
B:
C:
D:
计算机病毒所没有的特点是()。
A:隐藏性
B:潜伏性
C:传染性
D:广泛性
在双缝干涉实验中,当入射单色光的波长减小时,屏幕上千涉条纹的变化情况是()。
A:条纹变密并远离屏幕中心
B:条纹变密并靠近屏幕中心
C:条纹变宽并远离屏幕中心
D:条纹变宽并靠近屏幕中心
某施工项目,建设单位2007年2月1日领取了施工许可证。由于某种原因,工程不能按期开工,故向发证机关申请延期。根据《建筑法》的规定,申请延期应在()前进行。
A:2007年3月1日
B:2007年4月1日
C:2007年5月1日
D:2007年6月1日
成像光学系统有哪两种色差?试说明它们的成因?
x=0是函数的().
A:第二类间断点
B:可去间断点
C:跳跃间断点
D:连续点
不同相套管户外最小净距为:额定电压1~10kV时为125mm;额定电压35kV时为340mm;额定电压110kV时为830mm;额定电压220kV时为()mm。
A:1800;
B:180;
C:1000;
D:1200。
影响变压器空载损耗的主要条件为硅钢片的重量和铁心中的磁通密度。()
计算机网络技术的核心是()。
A:通信技术和半导体技术
B:网络技术和计算机技术
C:通信技术和计算机技术
D:半导体技术和计算机技术
电能质量的主要指标是__________。
变压器绕组对油箱的绝缘属于()。
A:外绝缘
B:主绝缘
C:纵绝缘
D:横绝缘
绕线型电动机的启动特性比鼠笼式电动机( )
A:好
B:差
C:一样
无粘性流体是()。
A:符合pv=nRT的流体
B:ρ=0的流体
C:μ=0的流体
D:实际工程中常见的流体
以下是国家认可的测试系统的试验有()。
A:验收试验
B:性能试验
C:性能校核
D:以上三种都是
对称三相负载接成三角形,功率为2.4kW,功率因数0.6,已知电源线电压UL=380V,通过负载的电流为()A。
A:6.08
B:3.51
C:10.53
D:8.24
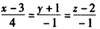
过两点A(3,-1,2)和B(-1,0,3)的直线方程是().
A:
B:
C:
D:
在下列触发器中,有约束条件的是()。
A:主从JK触发器
B:主从D触发器
C:同步RS触发器
D:边沿D触发器
用杂化轨道理论推测下列分子空间构型,其中为三角锥形的是()。
A:NH3
B:H2O
C:BF3
D:BeCl2
在驻波中,两个相邻波节之间各质点的振动振幅及相位关系为()。
A:振幅相同,相位相同
B:振幅不同,相位相同
C:振幅相同,相位不同
D:振幅不同,相位不同
中性点接地的三相五线制电路中,所有单相电气设备电源插座的正确接线是图()。
A:A
B:B
C:C
D:D
计算机的存储器的主要功能是()。
A:存储程序和数据
B:存储程序
C:自动计算
D:处理数据程序
25℃,在[Cu(NH3)4]SO4水溶液中,滴加BaCl2时有白色沉淀产生,滴加NaOH时无变化,而滴加Na2S时则有黑色沉淀生成,以上实验现象说明该溶液中(Ks为溶度积常数)()。
A:已无SO2-4离子
B:已无游离的NH3
C:已无Cu2+离子
D:c(Ba2+)·c(SO2-4)≥Ks(BaSO4);c(Cu2+)·c(OH-)22和c(Cu2+)·c(S2-)Ks(CuS)
设y=f(t),t=φ(x)都可微,则dy=()。
A:f'(t)dt
B:φ'(x)dx
C:f'(t)φ'(x)dt
D:f'(t)dx
视度
局部损失发生在管路的非直线段上。
首页
<上一页
91
92
93
94
95
下一页>
尾页