自考题库
首页
所有科目
自考历年真题
考试分类
关于本站
游客
账号设置
退出登录
注册
登录
出自:其他知识竞赛
税务机关应即时回收需要销毁处理的装置。特殊情况的,回收期限不超过()个月。
A:1个月
B:3个月
C:6个月
D:9个月
按照《国家电网公司企业文化管理办法》要求,省公司(直属单位)层面是开展统一的企业文化建设、落实“五统一”要求的执行主体。
在计算机中安装防火墙的目的
不包括
()。
A:查杀木马
B:阻挡可疑程序
C:整理磁盘碎片
D:防止黑客(Hacker)的入侵
国家实行峰谷分时电价、季节性电价、可中断负荷电价制度,鼓励电力用户合理调整用电负荷;对钢铁、有色金属、建材、化工和其他主要耗能行业的企业,分()类实行差别电价政策。
A:淘汰
B:限制
C:允许
D:鼓励
黑盒测试用来测试证明每个实现了的功能是否符合要求。
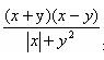
数学表达式
在VB中的正确写法是()。
A:(x+y)(x-y)/Abs(x)+y*y
B:(x+y)(x-y)/(Abs(x)+y*y)
C:(x+y)*(x-y)/(Abs(x)+y*y)
D:(x+y)*(x-y)/(Sqr(x)+y^2)
下列哪种
不属于
我国乙类法定报告传染病()
A:麻疹
B:流脑
C:狂犬病
D:肺结核
E:回归热
那一位画家不是二十世纪初野兽派画家?()
A:马蒂斯
B:弗拉曼克
C:毕加索
D:德兰
邻里关系有哪些礼仪要求?
常见的“盒装牛奶”是用什么方法进行灭菌处理的?()
A:碳酸化作用
B:超高温瞬时灭菌法
C:发酵法
D:冷冻法
漏洞在老版本的软件中才出现。()
2015年,以下各大洲年人均电力消费水平最高的是()。
A:欧洲
B:北美洲
C:亚洲
D:非洲
盛中唐时期书法发生了重要厘革,以这一时期的隶、楷、行、草书家作品为例,论述此期书法与初唐书法品德的区别,并论述其发生改变的缘由。
完全由于不可抗拒的自然灾害,并经及时采取合理措施,仍然不能避免造成环境污染损害的,免于承担责任。
空气的标准状态指温度为273K,压力为101,325Pa时的状态。大气污染物综合排放标准规定的各项标准值,均以()为基准。
A:标准状态下的干空气
B:标准状态下的空气
C:监测状态下的干空气
D:监测状态下的空气
目前,在新疆各民族中流传的宗教主要有哪些?
Android的第1层次由C语言实现,第2、3层次由C和/C++实现,第4层次主要由Java代码实现。
传染病报告卡中急慢性与未分型为必填项的传染病有()、()、()。
环保模范城市对环保教育有什么要求?
黄浦军校于1924年建校,第一任政治部主任是()
A:邵元冲
B:周恩来
C:戴季陶
D:宋哲元
哺乳动物是最高等的脊椎动物,靠母体的乳腺分泌乳汁哺育初生幼体。下面哪种是哺乳动物?()
A:海豚
B:海马
C:海星
D:海龙
按照BS7799标准,信息安全管理应当是一个持续改进的周期性过程。
油泵房内电缆沟应采取何种安全措施?
心肺复苏的有效征兆是面色(口唇)好转,由紫绀转为红润。
刘永福故居又名三宣堂,中法战争后刘被清政府封为三宣提督,其故居因此得名。
船政楹联“以一篑为始基,从古天下无难事;致九译之新法,于今中国有圣人。”是()亲自撰写的.
《木兰辞》属于何种歌曲()。
A:抒情歌曲
B:叙事歌曲
C:抒情叙事曲
哪项不是逻辑斯蒂曲线划分的5个时期?()
A:开始期
B:加速期
C:稳定期
D:转折期
产生生活垃圾的单位和个人应当按照什么规定分类投放生活垃圾?
郭沫若笔下“一池浓墨沉砚底,万木长豪挺笔端”的诗句,描写的景区是()。
A:赛里木湖景区
B:博斯腾湖景区
C:天山天池景区
首页
<上一页
915
916
917
918
919
下一页>
尾页