自考题库
首页
所有科目
自考历年真题
考试分类
关于本站
游客
账号设置
退出登录
注册
登录
出自:基础考试
图示三根压杆均为细长(大柔度)压杆,且弯曲刚度均为EI。三根压杆的临界载荷F
cr
的关系为()。
A:A
B:B
C:C
D:D
岩石抗拉强度()岩石的抗压强度。
A:小于
B:等于
C:大于
D:小于等于
防止管涌反滤层的填筑方式应为()
A:将各级配的砂砾石拌和均匀后填筑
B:顺水流方向分层,由细到粗分层碾压密实
C:逆水流方向分层,由细到粗分层碾压密实
D:只要求碾压密实、不透水
T形截面压弯构件腹板的容许高厚比与下列哪些因素有关?()Ⅰ.腹板的应力梯度Ⅱ.构件的长细比Ⅲ.钢材的种类Ⅳ.支承条件
A:Ⅰ、Ⅲ
B:Ⅰ、Ⅱ
C:Ⅰ、Ⅱ、Ⅲ
D:Ⅰ、Ⅱ、Ⅳ
求图示梁铰C左侧截面的转角时,其虚拟单位力状态应取:()
A:A
B:B
C:C
D:D
一平面力系向点1简化时,主矢F
R
′≠0,主矩M
1
=0。若将该力系向另一点2简化,其主矢R′和主矩M
2
将分别为:()
A:A
B:B
C:C
D:D
关于热功转换和热量传递过程,下列哪些叙述是正确的?()Ⅰ.功可以完全变为热量,而热量不能完全变为功Ⅱ.一切热机的效率都不可能等于1Ⅲ.热量不能从低温物体向高温物体传递Ⅳ.热量从高温物体向低温物体传递是不可逆的
A:Ⅱ、Ⅳ
B:Ⅱ、Ⅲ、Ⅳ
C:Ⅰ、Ⅲ、Ⅳ
D:Ⅰ、Ⅱ、Ⅲ、Ⅳ
设函数f(x,y)=x
3
+y
3
-3xy,则()。
A:f(0,0)为极大值
B:f(0,0)为极小值
C:f(1,1)为极大值
D:f(1,1)为极小值
理想流体的特征是()。
A:无黏性
B:黏性系数为常数
C:不可压缩
D:符合
岩石自由膨胀率、侧向约束膨胀率和岩石体积不变条件下膨胀压测试时的浸水时间不得少于()小时。
A:6
B:12
C:24
D:48
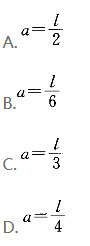
如图所示单元体取自梁上哪一点?()
A:a
B:b
C:c
D:d
()属于水硬性胶凝材料,而()属于气硬性胶凝材料。
A:石灰 石膏
B:水泥 石灰
C:理想 曲线
D:理论 直线
聚丙烯酸酯的结构式为
,它属于:() ①无机化合物 ②有机化合物 ③高分子化合物 ④离子化合物 ⑤共价化合物
A:①③④
B:①③⑤
C:②③⑤
D:②③④
由于收敛计观测的仪器和测量方法太简单,所得的观测资料不可以直接用于工程稳定状态的评价和判断。
在小主应力一定时,大主应力越大,土体越容易发生剪切破坏。
钻孔压力计可直接测试岩体变形。
结构面直剪实验中施加剪切载荷时,规程建议在现场对抗剪强度较高的低塑性夹层按预估最大剪切载荷的5%分级施加。
聚酰胺树脂中含有下列哪种结构?()
A:A
B:B
C:C
D:D
岩石颗粒度试验方法有()
A:比重瓶法
B:水中称量法
C:筛分法
D:灌水法
E:灌砂法
二进制数10110101111对应的八进制和十进制表示分别为()。
A:2657;1455
B:2567;1554
C:2657;1545
D:2567;1455
已知电极反应Cu
2+
+2e
-
=Cu的
为0.347V,则反应2Cu-4e
-
=2Cu
2+
的
值为()。
A:-0.694V
B:+0.694V
C:-0.347V
D:+0.347V
材料的抗冻性的优劣()。
A:仅与孔隙率有关
B:仅与强度有关
C:与孔结构、强度、水饱和程度有关
D:与孔结构无关
下列各波函数中不合理的是()。
A:A
B:B
C:C
D:D
在双缝干涉实验中,在给定入射单色的情况下,用一片能透过光的薄介质片(不吸收光线)遮住下面的一条缝,则屏幕上干涉条纹的变化情况是:()
A:零级明纹仍在中心,其他条纹上移
B:零级明纹仍在中心,其他条纹下移
C:零级明纹和其他条纹一起上移
D:零级明纹和其他条纹一起下移
图a)所示电压信号波形经电路A变换成图b)波形,再经电路B变换成图c)波形,那么,电路A和电路B应依次选用()。
A:低通滤波器和高通滤波器
B:高通滤波器和低通滤波器
C:低通滤波器和带通滤波器
D:高通滤波器和带通滤波器
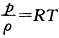
如图所示两跨等截面梁,受移动荷载P作用,截面相同,为使梁充分发挥强度,尺寸a应为:()
A:A
B:B
C:C
D:D
如果f(x)=e
x
,则
等于:()
A:A
B:B
C:C
D:D
用百分之一太平准确称量0.5g试样,正确的原始记录应该是()
A:0.5g
B:0.50g
C:0.500g
把NaAc晶体加到0.1mol/LHAc溶液中,将会有下列中哪种变化?()
A:溶液pH值升高
B:溶液pH值下降
C:K
a
增加
D:K
a
减小
某理想气体在进行卡诺循环时,低温热源的温度为T,高温热源的温度为nT,则该理想气体在一次卡诺循环中,从高温热源吸取的热量与向低温热源放出的热量之比为:()
A:(n+1)/n
B:(n-1)/n
C:n
D:n-1
首页
<上一页
7
8
9
10
11
下一页>
尾页