自考题库
首页
所有科目
自考历年真题
考试分类
关于本站
游客
账号设置
退出登录
注册
登录
出自:电气工程师发输变电
工作房间表面顶棚照度比为()。
A:0.25~0.9
B:0.4~0.8
C:0.20~0.40
D:0.25~0.45
根据《110~500kV架空送电线路设计技术规程》(DL/T5092-1999),设计一条交流500kV单回架空送电线路,海拔为2000m,最大风速为32m/s。运行电压应满足的空气间隙为()。
A:1.300m
B:1.380m
C:1.495m
D:1.625m
一台10000kVA变压器现已运行27年,折旧率为3.33%,由于故障及运行时间长久,部分绕组绝缘损坏,需进行大修,大修费为该变压器投资费的50%。购买新的10000kVA变压器价格为85000元,与原10000kVA变压器购价相同。变压器的残存价值为原购价的10%。如更换新变压器每年可节约电费31304元,减少电容器的投资为6120元。从生产上考虑该变压器的负荷短期内不可能减少或调整。请考虑该变压器的处理方案旧变压器还有剩值,其回收年限为()年。
A:3.0
B:2.91
C:2.52
D:1.16
安全电压交流有效值为()。
A:24V
B:36V
C:48V
D:50V
按用途分接地有以下几种()。
A:工作接地
B:保护接地
C:防雷接地
D:重复接地
水泵类负载在工况点1、2运行时,对应的扬程和转速分别为H1、H2和N1、N2,它的扬程(H)与转速(N)符合()关系式。
A:H1/H2=N2/N1
B:H2/H1=N2/N1
C:H2/H1=(N2/N1)3
D:H2/H1=(N2/N1)2
建筑物的应急照明包括()。
A:疏散照明
B:备用照明
C:安全照明
D:障碍照明
水平接地极联结的垂直接地极4个接地导体接地极的冲击利用系数ηi应为()。
A:0.80~0.85
B:0.70~0.80
C:0.70~0.75
D:0.65~0.70
接触电压和跨步电压的概念是()。
A:当接地短路电流流过接地装置时,大地表面形成分布电位,在地面上离设备水平距离为0.8m处与沿设备外壳、架构或墙壁离地面的垂直距离为1.8m处两点间的电位差,称为接触电势
B:人们接触该两点时所承受的电压称为接触电压(接触电位差)。接地网网孔中心对接地网接地体的最大电位差,称为最大接触电势,人们接触该两点时所承受的电压称为最大接触电压
C:地面上水平距离为0.8m的两点间的电位差,称为跨步电势;人体两脚接触该两点时所承受的电压,称为跨步电压(跨步电位差)
D:接地网外的地面上水平距离0.3m处对接地网边缘接地体的电位差,称为最大跨步电势;人体两脚接触该两点时所承受的电压,称为最大跨步电压
一台10/0.4kV配电变压器,绕组联结为Dyn11,二次侧两相短路时的超瞬态短路电流I″22K3=27.7kA,则流过一次侧最大一相的电流I″2K2为()。
A:1.22kA
B:0.85kA
C:0.74kA
D:1.84kA
对不间断供电要求高的某些场所(如矿山、井下等)宜采用()系统。
A:TN-S
B:TN-C
C:TN-C-S
D:TT
要求有较大范围调光的场所,可选用的光源及镇流器有()。
A:配节能电感镇流器的荧光灯
B:配电子镇流器的荧光灯
C:卤钨灯
D:发光二极管(LED.
关于发电厂、变电所接地装置的设置,正确的是()。
A:接地装置应利用自然接地极,当其接地电阻符合要求时,可不另设人工接地板
B:接地装置除利用自然接地极外,还应敷设以水平接地极为主的人工接地网
C:接地装置应与架空线路的避雷线相连,且有便于分开的连接点
D:对于3~10kV变电所、配电所,当采用建筑物的基础作接地极且接地电阻又满足规之值时,可不另设人工接地
建立照明运行维护和管理制度需要()。
A:应有专业人员负责照明维修和安全检查并做好维护记录,专职或兼职人员负责照明运行
B:应建立清洁光源、灯具的制度,根据标准规定的次数定期进行擦拭
C:宜按照光源的寿命或点亮时间、维持平均照度,定期更换光源
D:更换光源时,应采用与原设计或实际安装相同的光源,不得任意更换光源的主要性能参数
如果下列()和()能分别或同时满足,则可认为符合低压电气装置对高压系统接地故障的防护的条件。
A:变电所连接的有金属护层的高、低压电缆总长度超过1km
B:变电所连接的有金属护层的高、低压电缆总长度超过2km
C:变电所外露可导电部分的接地电阻(保护接地电阻)不超过1Ω
D:变电所外露可导电部分的接地电阻(保护接地电阻)不超过2Ω
()需作局部等电位联结。
A:当电源网络阻抗过大,使自动切断电源时间过长,不能满足防电击要求时
B:由TN系统同一配电箱供电给固定式和手持式、移动式两种电气设备,而固定式设备保护电器切断电源时间不能满足手持式、移动式设备防电击要求时
C:为满足浴室、游泳池、医院手术室等场所对防电击的特殊要求时
D:为避免爆炸危险场所因电位差产生电火花时
等电位连接干线的截面应符合的要求是()。
A:不得小10mm
2
B:不得小于6mm
2
C:若使用铜线,其截面不应大于35mm
2
D:不应小于该电气装置内最大保护线截面的一半
交流单相电力电缆的金属护层,必须直接接地,且在金属护层上任一点非接地处的正常感应电压,应符合()。
A:未采取不能任意接触金属护层的安全措施时,不得大于50V
B:未采取不能任意接触金属护层的安全措施时,不得大于60v
C:已采取不能任意接触金属护层的安全措施时,不得大于100v
D:已采取不能任意接触金属护层的安全措施时,不得大于120V
一台10/0.4kV配电变压器,绕组联结为Yyn0,二次侧两相短路时的超瞬态短路电流I″22K2=14.4kA,则流过一次侧的电流I″2K2为()。
A:0.384kA
B:0.333kA
C:0.665kA
D:0.549kA
不允许用作保护导体或保护联结导体的是()。
A:金属水管、燃气或可燃液体金属管
B:正常使用中承受机械应力的结构部分、支撑线
C:柔性或可挠金属导管、柔性金属部件
D:电缆托盘和梯架
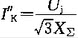
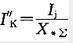
远离发电机端的网络发生三相短路时,用标幺值计算短路电流周期分量有效值,以下公式()是正确的。式中Ij--基准电流,kA--短路电流周期分量标幺值--短路电路综合电抗标幺值0Uj--基准电压,kVX∑--短路电路综合电抗有名值,mΩSK2--短路容量,MVA。
A:
B:
C:
D:
某厂房灯高10m(离工作面高度为9.25m),装设8个配照型工厂灯,尺寸及布灯如图,维护系数0.7,灯具光强分布表(以光源光通为10001m的数据),如表。
注按接近的θ表查取相应的I0值。 高压汞灯的照明功率密度(LPD)为金卤灯的LPD值的()倍。
A:1.2
B:1.38
C:1.57
D:1.68
正常工作条件下的电击防护措施有()。
A:利用绝缘的完全防护,带电部分要求全部可靠绝缘,从而防止在正常工作条件下与带电部分的任何接触
B:油漆、清漆、喷漆及类似物质形成的保护层
C:穿绝缘防护服装
D:等电位
用利用系数法计算照度,并计入维护系数,计算结果是()值。
A:平均照度
B:最小照度
C:维持平均照度
D:维持最小照度
请回答在下列情况下,低压配电室内配电装置的裸带电体与其他部分之间的安全距离及人距裸带电体的伸臂范围应如何确定。
第1题,共5个问题
(单选题)当裸导电部分具有防护等级低于()级的遮护物时,伸臂范围应从遮护物算起。
A:IP4X
B:IP54
C:IP2X
D:IP31
第2题,共5个问题
(单选题)裸带电体布置在有人活动的上方时,人距裸带电体的伸臂范围应符合裸带电体与地面或平台的垂直净距不应小于()。
A:1.8m
B:2.2m
C:2.3m
D:2.5m
第3题,共5个问题
(单选题)裸带电体布置在有人活动的侧面或下方时,人距裸带电体的伸臂范围应符合裸带电体与平台边缘的水平净距不应小于()。
A:1.25m
B:2.2m
C:2.5m
D:3.5m
第4题,共5个问题
(单选题)配电室通道上方裸带电体距地面的高度,屏前通道不应小于();当低于该数值时应加遮护,遮护后的护网高度不应低于()。
A:2.0m、1.9m
B:2.5m、2.2m
C:2.3m、1.9m
D:2.2m、2.0m
第5题,共5个问题
(单选题)配电室通道上方裸带电体距地面的高度,屏后通道不应小于();当低于该数值时应加遮护,遮护后的护网高度不应低于()。
A:2.0m、1.9m
B:2.5m、2.2m
C:2.3m、1.9m
D:2.2m、2.0m
影剧院建筑排演厅照度标准值为()lx。
A:200
B:300
C:500
D:1000
成套的高压开关设备用防误装置,应优先选用()。
A:电磁锁
B:机械联锁
C:电子联锁
D:电气联锁
在负载电流不变的条件下,配电线路换截面较大导线的节电和提高供电质量的效果表现在()方面。
A:换线前后线路单位电抗值变化不大,电阻值变化明显,节电效果主要是有功功率的节约
B:减小了配电线路的阻抗
C:减小电压偏差
D:节约线路投资
相线对地标称电压为220V的TN系统配电线路的接地故障保护,其切断故障回路的时间应符合下列()规定。
A:配电线路或仅供给固定式电气设备用电的末端线路不宜大于0.8s
B:供电给手握式电气设备和移动式电气设备的末端线路或插座回路不应大于0.4s
C:配电线路或仅供给固定式电气设备用电的末端线路不宜大于5s
D:供电给手握式电气设备和移动式电气设备的末端线路或插座回路不应大于5s
是三相短路电流的()。 ;
A:全短路电流
B:最大值
C:非周期分量
D:起始短路电流周期分量有效值
首页
<上一页
7
8
9
10
11
下一页>
尾页