自考题库
首页
所有科目
自考历年真题
考试分类
关于本站
游客
账号设置
退出登录
注册
登录
出自:电气工程公共基础
欲把一脉冲信号延迟8个TCP后愉出,宜采用()电路。
A:计数器
B:分频器
C:移位寄存器
D:脉冲发生器
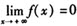
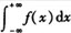
设f(x)是定义在(-∞,+∞)上的连续函数,则().
A:
必收敛
B:当时
,有
收敛
C:当
存在时,有
收敛
D:当且仅当
均存在时,有
收敛
已知一个8位二进制D/A转换器的输出阶梯电压Vo=0.02V,则它的最大输出电压为()V。
A:5.12
B:20.48
C:20.46
D:5.1
沿程水头损失随水流的流程增长而()。
A:增大;
B:减少;
C:不变;
D:不确定。
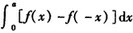
设f(x)在[-a,a](a>0)上连续,则
等于().
A:
B:0
C:
D:
计算机今后的发展趋势是()。
A:高性能、网络化、智能化、人性化、多级化、多媒体化
B:数字化、网络化、智能化、人性化、多级化、多媒体化
C:微型化、一体化、智能化、人性化、多级化、多媒体化
D:微型化、网络化、自动化、人性化、多级化、多媒体化
电铸步骤
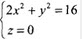
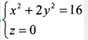
空间曲线
在xOy平面的投影方程是()。
A:
B:
C:x+2y2=16
D:
某人计划5年末购置一辆价格为75000元的汽车,故每年年末向银行等额存款一次,已知年利率为5%,则此人每年末等额存款应为()元。
A:13573
B:14093
C:17323
D:17401
图示简支梁受均布荷载g及集中力偶m作用,则梁内的最大弯矩为()。
A:6kN·m
B:6.25kN·m
C:9kN·m
D:12kN·m
数字逻辑电路中的1和0可以代表()
A:器件的状态
B:电平的高低
C:脉冲的有无
D:数量的大小
边沿式D触发器是一种()稳态电路。
A:无
B:单
C:双
D:多
漂移电流是()电流,它由()载流子形成,其大小与()有关,而与外加电压()。
同步计数器的分析步骤一般包含()。
A:写方程式
B:计算并列出状态转换表
C:画出状态转换图或者时序图
D:根据状态转换图或时序图说明电路的逻辑功能
在信息工程监理中,下列关于信息管理手段错误的是()。
A:根据监理制度统一信息管理要求
B:分散文档标识
C:信息及时录入计算机
D:强调工程各阶段信息及时性和完整性
从管理角度讲,数据中心运维服务面临的问题
不包括
()。
A:缺乏相对规范的数据中心运维服务管理体系、实施过程
B:服务对象层次不清,服务实施方式没有清晰的分类
C:服务内容、服务人员缺乏梳理和统一要求
D:数据中心运维服务没有取得一定的成效
雷诺数物理意义表示()。
A:黏滞力与重力之比
B:惯性力与重力之比
C:惯性力与黏滞力之比
D:压力与惯性力之比
能同时溶解Zn(OH)2、Agl和Fe(OH)3三种沉淀的试剂是()。
A:氨水
B:草酸
C:KCN溶液
D:盐酸
固体介质的沿面放电是指沿固体介质表面的气体发生放电,沿面闪络是指沿面放电贯穿两电极间,介质所处电场越均匀,沿面放电电压()。
A:越高;
B:越低;
C:越小;
D:为零。
在图7-32所示电路中,已知:R1=R3=4kΩ,R2=2kΩ,C=2μF,U=20V,换路后电容电流iC的变化规律是()mA。
A:
B:
C:
D:
离心泵内的水力损失大部分集中在()
A:吸入室中;
B:泵叶轮处;
C:压出室中;
D:均匀分布。
方阵中,不能与对角阵相似的是().
A:
B:
C:零矩阵
D:
若将输入脉冲信号延迟一段时间后输出,应用()电路。
A:施密特触发器
B:单稳态触发器
C:多谐振荡器
D:集成定时器
起重钢丝绳用插接法连接时,插接长度应为直径的15~20倍,但一般最短不得少于()mm。
A:500;
B:400;
C:300;
D:100。
变压器带油补焊应注意什么问题?
关于进行工频耐压试验时的加电过程,下列叙述正确的是()。
A:试验电压的初始值应低于1/3试验电压,并应与测量配合尽快升至试验电压,保持规定的试验时间,然后将电压迅速降低到1/3试验电压下,最后切断试验电源。
B:试验电压的初始值应低于1/3试验电压,并应与测量配合尽快升至试验电压,然后将电压迅速降低到1/3试验电压下。
C:试验电压的初始值应低于1/2试验电压,并应与测量配合尽快升至试验电压,保持规定的试验时间,然后将电压迅速降低到1/3试验电压下。
D:试验电压的初始值应低于2/3试验电压,并应与测量配合尽快升至试验电压,然后将电压迅速降低到1/3试验电压下。
当签订合同后,当事人对合同条款的理解发生争议时,以下做法正确的是()。
A:应按通常的理解予以解释
B:有两种以上解释的,应做有利于提供格式条款的一方的解释
C:有两种以上解释的,应做出不利于提供格式条款的一方的解释
D:在格式条款与非格式条款不一致时,应采用非格式条款
在GB1094.3-2003标准中规定,在进行局部放电测量时,背景噪声不大于()PC。
A:50
B:60
C:70
D:100
图示为切断钢锭的设备,在顶角为30°的尖臂上作用铅直力Q,设钢锭与尖劈之间的摩擦系数为f,则作用于钢锭上的水平推力为()。
A:
B:
C:
D:
可移植性最好的计算机语言是()。
A:机器语言
B:汇编语言
C:高级语言
D:自然语言
首页
<上一页
7
8
9
10
11
下一页>
尾页