自考题库
首页
所有科目
自考历年真题
考试分类
关于本站
游客
账号设置
退出登录
注册
登录
出自:电气工程公共基础
两台不同大小的泵串联运行,串联工作点的扬程为H串,若去掉其中一台,由单台泵运行时,工作点扬程分别为H大或H小,则串联与单台运行间的扬程关系为()。
A:H串=H大+H小
B:H串>H大+H小
C:H大
D:H小
对TTL与非门多余输入端的处理,不能将它们()。
A:与有用输入端连在一起
B:悬空
C:接正电源
D:接地
同步发电机励磁自动调节的作用之一:应在并联运行的发电机之间_________。
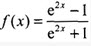
设
,则()。
A:f(x)为偶函数,值域为(-1,1)
B:f(x)为奇函数,值域为(-∞,0)
C:f(x)为奇函数,值域为(-1,1)
D:f(x)为奇函数,值域为(0,+∞)
一般气体继电器气容积的整定范围为()cm3。
A:150~200;
B:250~300;
C:350~400;
D:405~425
在杨氏双缝干涉实验中,如果将两缝的间距加倍,则干涉条纹的间距()。
A:是原来的二分之一
B:是原来的两倍
C:是原来的四分之一
D:是原来的四倍
要使JK触发器的输出Q从1就成0,它的输入信号JK就为()。
A:00
B:01
C:10
D:无法确定
斯特列尔(Strehl)清晰度
三个阻值相等的电阻串联时的总电阻是并联时总电阻的()。
A:6倍
B:9倍
C:3倍
什么是局部放电?局部放电试验的目的是什么?
打印机的种类有点阵式打印机、喷墨打印机及()。
A:非击打式打印机
B:击打式打印机
C:光电打印机
D:激光打印机
根据中华人民共和国国务院第632号令,关于《计算机软件保护条例》中对“文档”的含义描述正确的是()。
A:文档是指用来描述程序的内容、组成、设计的文字资料和图表
B:文档是指用来描述程序的功能规格、开发情况的文字资料和图表
C:文档是指用来描述程序的测试结果及使用方法的文字资料和图表
D:文档是指包括程序设计说明书、流程图、用户手册
在低温度的环境中,变压器油牌号使用不当,会产生什么后果?
集成数模转换器DAC0832主要由哪三部分组成()。
A:输入寄存器
B:DAC寄存器
C:D/A转换器
D:输出缓冲器
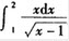
下列结论中,错误的是().
A:收敛
B:发散
C:
D:
在Windows中,在桌面的图标[我的电脑]是()。
A:用来暂存用户删除的文件、文件夹等内容的
B:用来管理计算机资源的
C:用来管理网络资源的
D:用来保持网络中的便携机和办公室中的文件保持同步的
下面关于质量控制,
不正确
的是()。
A:对所有的隐蔽工程在进行隐蔽以前进行检查和办理签证
B:对重点工程要派监理人员驻点跟踪监理
C:对各类材料、配件和线缆等按规定进行检查和抽查
D:对工程主要部位、主要环节及技术复杂工程加强检查
在图示电路中,负载RL的消耗功率为72w,若变压器的变压比k=5,则变压器原边电压有效值U1()。
A:等于120V
B:等于4.8V
C:等于0.6V
D:无法计算
某模拟信号放大器输入与输出之间的关系如图9-6所示,那么,能够经该放大器得到5倍放大的输入信号u1(t)最大值一定()。
A:小于2V
B:小于10V或大于-10V
C:等于2V或等于-2V
D:大于或等于-2V且小于或等于2V
用()可以表示测量的准确度。
A:绝对误差
B:相对误差
C:引用误差
D:以上都错
在项目结束时对项目绩效的说法以下错误的是()。
A:项目绩效考核的基础是目标定义
B:项目目标不易量化考核
C:对同类项目采用统一的考核方法和流程
D:常用加权评分的方法
图像识别
一种进位计数包含()两个基本因素。
A:奇数
B:偶数
C:基数
D:位权
适应法和阻尼最小二乘法光学自动设计方法各有什么特点,它们之间有什么区别?
数项级数的部分和数列有界是该级数收敛的().
A:充分条件
B:必要条件
C:充分必要条件
D:既非充分又非必要条件
同一台泵用于输送密度分别为ρ1和ρ2的液体时,保持转速不变且流动相似,其对应的扬程分别是H1和是H2,对应的轴功率分别为P1和P2,若ρ1>ρ2,则下列关系式中正确的是()。
A:H1>H2P1=P2
B:H1=H2P1>P2
C:H1>H2P1>P2
D:H1=H2P1=P2
变压器负载为电容性时,输入的无功功率的性质()。
A:一定是领先的;
B:一定是落后的;
C:可能是领先的,也可能是落后的;
D:是不变的。
根据使用场所的要求,洁净手术部主要选用( )系统接地形式。
A:TN-S
B:TN-C
C:IT
欧拉运动微分方程在每点的数学描述是()。
A:流入的质量流量等于流出的质量流量
B:单位质量力等于加速度
C:能量不随时间而改变
D:服从牛顿第二定律
以下代码中为无权码的为()。
A:8421BCD码
B:2421BCD码
C:余三码
首页
<上一页
87
88
89
90
91
下一页>
尾页