自考题库
首页
所有科目
自考历年真题
考试分类
关于本站
游客
账号设置
退出登录
注册
登录
出自:电气工程公共基础
单稳态触发器工作特性具有的显著特点是()。
A:它有稳态和暂稳态两个不同的状态。
B:在外界触发脉冲作用下,能从稳态翻转到暂稳态,在暂稳态维持一段时间后,再自动返回稳态。
C:暂稳态维持时间的长短取决于电路本身的参数,与触发脉冲的宽度和幅度无关。
D:暂稳态维持时间的长短取决于触发脉冲的宽度。
关于采样信号,
不正确
的说法是()。
A:采样信号是离散信号
B:采样信号是连续信号
C:数字信号是代码信号
D:模拟信号是时间信号
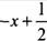
渐晕:
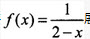
将
展开为x的幂级数,其收敛域为()。
A:(-1,1)
B:(-2,2)
C:
D:(-∞,+∞)
电力系统中性点接地方式有:_________、_________和中性点不接地。
Y/Δ-11接线的变压器,一次侧电压与对应二次侧线电压的角度差是( )。
A:330°
B:30°
C:300°
解理缝
无线宽带接入技术
不包括
下面哪种技术()。
A:MMDS技术
B:Wi-Max技术
C:Zigbee技术
D:DBS技术
模拟信号放大器是完成对输入模拟量()。
A:幅度的放大
B:频率的放大
C:幅度和频率的放大
D:低频成分的放大
列机械横波在t时刻的波形曲线如图所示,则该时刻能量为最大值的媒质质元的位置是()。
A:O’,b,d,f
B:a,c,e,g
C:O’,d
D:b,f
下列触发器抗干扰能力较强的触发器是()。
A:基本RS触发器
B:同步D触发器
C:主从JK触发器
D:维持-阻塞D触发器
边端性质
在构成D/A转换器的电路中,
不属于
D/A转换器组成部分的是()。
A:数码锁存器
B:电子开关
C:电阻网络
D:译码器
功能块电路内部一般是由()组成。
A:单片MSI
B:多片MSI
C:各种门电路
D:无法确定
读值为O.O5mm和0.02mm的游标卡尺刻线原理及读数方法与0.Olmm的游标卡尺_______。
将(10111100101.00011001101)2转换为十六进制数,结果是()。
A:5E5.19A
B:5E5.195
C:5D5.19A
D:5D5.195
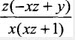
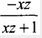
函数z=z(x,y)由方程xz-xy+lnxyz=0所确定,则等于()。
A:
B:
C:
D:
与TTL电路相比,CMOS电路的特点是()
A:噪声容限低
B:电源适用范围宽
C:功耗极低
D:扇出能力强
针对存储的软、硬件故障引起的业务中断或者运行效率无法满足正常运行需求,而进行的相应服务,包括不限于()。
A:存储重启
B:配置文件设备光纤模块升级
C:纯粹设备光纤模块升级
D:存储设备搬迁
系统管理中,电脑打印机属于()。
A:应用系统管理
B:硬件系统管理
C:软件系统管理
D:桌面系统管理
以下有关招标的说法,不符合《招标投标法》规定的是()。
A:依法必须进行招标的项目,招标人自行办理招标事宜的,应当办理备案手续
B:招标分为公开招标和邀请招标
C:招标项目不得分段招标、确定工期
D:招标代理机构不得与行政机关存在隶属关系
金属加热到一定温度会由固态熔化成液态,开始转化的温度称为( )。
A: 沸腾点
B:熔点
C:可熔性
D:熔解温度
已知反应的,下列叙述正确的是()。
A:由于,随着反应的进行,PC逐渐增大,pA、pB逐渐减小,平衡常数逐渐增大
B:升高温度,使增大,减小,将导致平衡向左移动
C:加入催化剂,同等程度加快正、逆反应的速率,加速达到平衡
D:增加压力,使pA、pB增大,增大,而平衡左移
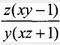
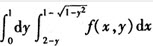
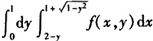
交换积分次序,二次积分化为().
A:
B:
C:
D:
油浸式变压器采用短路法做温升试验有两个阶段,简述并说明目的?
图示矩形闸门,已知a及h,当()时,闸门可绕O轴自动打开。
A:
B:
C:
D:
变压器噪音测量时,使用声压法可以减少外界声源的影响。()
在“Windows帮助”窗口中,若要以浏览方式寻找您所需要的项目,请按()标签进行。
A:搜索
B:目录
C:索引
D:主题
可重复进行编程的可编程器件有()。
A:PAL
B:GAL
C:PROM
D:ISP-PLD
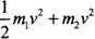
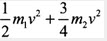
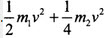
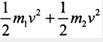
如图所示,质量为m
1
的均质杆OA,一端铰接在质量为m
2
的均质圆盘中心,另一端放在水平面上,圆盘在地面上作纯滚动。圆心速度为ν,则系统的动能为()。
A:
B:
C:
D:
首页
<上一页
86
87
88
89
90
下一页>
尾页