自考题库
首页
所有科目
自考历年真题
考试分类
关于本站
游客
账号设置
退出登录
注册
登录
出自:初级中学教师资格证
《初学记》引《宋百官春秋》说:“周受命,封建宗盟,始选宗中之长而董正之,谓之宗正。成王时,彤伯人为宗正,掌王亲属,是也秦汉因之。”对此理解正确的是()。
A:文中的彤伯与成王有血缘关系
B:秦朝承袭了周朝的封建宗盟制度
C:宗正的权力高于周成王
D:反映君主专制下对王族的管理
泰勒斯因为见到水有三态的变化,进而推想其他物质的形成也是依据相同的原理,提出“万物皆为水”的理论;苏格拉底认为“人应该节制肉身的欲望,解放灵魂,以唤起因肉体牵绊而被遗忘的知识”。柏拉图认为“所有人类感官感受到的知识和价值,都源自于理性世界”。综观这些希腊哲学家们的言论,我们可归纳出希腊哲学的共同特色是()
A:就个别的表象,解释其形成的原因
B:以隐晦的神喻来解释各事物的原因
C:不相信表象,转而探索背后的真相
D:针对不同事物和现象提出个别答案
下面哪一本书不足"四书"之一?()
A:《大学》
B:《春秋》
C:《孟子》
D:《中庸》
下列有关秦岭-淮河一线地理意义的叙述,正确的是()。
A:北侧为温带常绿阔叶林带,南侧为亚热带常绿阔叶林带
B:大致为400毫米等降水线的一部分,北部为半干旱地区
C:北侧农业类型主要为畜牧业,南侧主要为种植业
D:为我国一月份0°C等温线大致经过的地区
育人目标属于学校文化中的践行文化。
学生中常见的焦虑反应是()焦虑。
A:学习
B:行为
C:考试
D:适应
在Windows的“搜索”“文件或文件夹”功能中,以下说法错误的是()
A:可以搜索图片、音乐或视频
B:可以按计算机名搜索网络上计算机
C:不可以搜索隐藏的文件或文件夹
D:可以按文件被修改的日期进行搜索
“领导和参与辛亥革命的力量主要来自三个方面:第一是作为原来的统治者的士绅阶层,第二是以反对满族统治为宗旨的汉族民族主义者,第三是以推行现代民主共和为己任的革命者。相对而言,第三部分即立志推进民主共和的力量是最弱的。但组建新政权的任务却恰恰落在了这最弱的一部分力量的肩上。”之所以如此的主要原因是()
A:辛亥革命后实现了主要政治力量的大联合
B:反对专制实行共和成为辛亥革命的旗帜
C:资产阶级革命派在国内具有重大影响力
D:反封建的民主革命压倒了反满的民族革命
1927-1936年,我国民族工业发展较快。如最大的民族工业荣氏申新厂纱锭数和布机台数,在这十年间增长300%和281%,新兴工业部门如化学工业、橡胶工业等都有较大的发展。促进这一时期民族资本主义发展的因素有()①国民政府形式上统一全国,政局相对稳定②国民政府的推动、支持③中国人民反帝爱国运动的促进④爱国实业家的努力
A:①②③④
B:①②③
C:②③④
D:①②④
1623年英国哲学家( )首次在科学分类中将教育学作为一门独立的学科划分出来。
A:保罗·朗格朗
B:培根
C:埃德加·富尔
D:杜威
()也叫显在课程、正规课程,指的是学校情境中以直接的、明显的方式呈现的课程,即学校有目的、有计划传授的学科。其主要特征之一就是计划性。
A:校本课程
B:综合课程
C:隐性课程
D:显性课程
魏晋之时,傅畅“年未弱冠,甚有重名,以选入侍讲东宫”;谢琰“弱冠以贞干称,美风姿,„„拜著作郎”;王洽,“(王)导诸子中最知名,与荀羡俱有美称。弱冠,历散骑、中书郎”。这说明魏晋之时()
A:社会重学人才辈出
B:世家大族垄断官位
C:选官方法公平科学
D:察举制度盛行不衰
“尊重每一个人的权利,维护每一个人的尊严,哪怕他(她)有罪有错。这是基本的法治理念,也是文明社会的底线。”对此理解正确的是()①必须坚持公民在法律面前人人平等原则②任何公民的合法权利都受到保护③人格尊严是公民最基本的政治权利④必须坚持权利与义务统一原则
A:①②
B:②④
C:③④
D:①③
下列属于我国民族音乐家华彦钧的作品的是()。
A:《大浪淘沙》
B:《月夜》
C:《病中吟》
D:《空山鸟语》
教育作为一种特殊的文化形式,还会反作用于文化整体。
在Excel中,()函数是计算工作表一串数据的总和。
A:COUNT(A1:A10)
B:AVERAGE(A1:A10)
C:MIN(A1:A10)
D:SUM(A1:A10)
提出“最近发展区”理论的教育家是()
A:皮亚杰
B:赞科夫
C:维果茨基
D:苏霍姆林斯基
门德尔松首创了()体裁。
A:声乐套曲
B:钢琴套曲
C:无词歌
D:素歌
罗马法的最后发展阶段出现在与其土生土长之地全然不同的土地上和罗马帝国最不罗马化的民族之中。„„立法活动在那里紧张地进行着,整个古老的生机和威力一直保持着其全部光彩。下列表述符合此观点的是()
A:罗马法只适用于罗马公民
B:万民法使罗马法体系最终完成
C:帝国的扩张是罗马法发展的重要原因
D:罗马法迅速向世界传播
进行政府机构改革是因为()。
A:生产关系一定要适合生产力状况
B:上层建筑一定要适合经济基础状况
C:人民群众是社会物质财富的创造者
D:生产方式是社会存在和发展的基础
体现间接经验与直接经验相统一规律的教学原则是( )
A:直观性原则
B:理论联系实际原则
C:因材施教原则
D:量力性原则
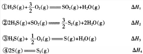
在1200℃时,天然气脱硫工艺中会发生下列反应()。
则ΔH
4
的正确表达式为()。
A:
B:
C:
D:
巴黎公社成立以后,公社委员会规定:“中央委员会要在自己的机关报上公布会议记录,并以公告、法令、声明等多种形式向群众汇报工作。”此规定主要是为了()
A:提高公社的行政效率
B:体现人民当家作主
C:便于实现人民的监督
D:防止委员职务腐败
衡量一个国家综合经济实力的重要标志是()
A:钢铁工业
B:石油工业
C:化学工业
D:机械工业
学校心理辅导的主要方式一般有两种,下列关于它们的叙述
不正确
的一项是()。
A:学校心理辅导有团体辅导和个别辅导这两种主要的方式
B:团体辅导以全体学生为对象,以预防辅导为主
C:个别辅导是以少数学生为对象,以矫治辅导为主,属补救性的辅导
D:经常逃学的学生、有学习障碍的学生更适合于进行团体辅导
学习人教版初一课文《童趣》,当老师板书到"夏蚊--舞鹤"的时候,有一学生说:"老师,课文中还有事情为什么没有写出来?"下列教师的评析,最为恰当的是()。
A:还有事情么?请同学们结合课文看看还有什么事情没有写出来?
B:想想看,然后告诉大家为什么没有写?
C:没有写是因为不能写,课下再告诉你原因,当然,你也可以问其他同学。
D:别急嘛,慢慢来,下课之前,该写的就一定会写上。
在课程资源的开发与利用上,新课程主张建立融合、开放、发展的课程观,鼓励教师和学生从实际出发,因地制宜,积极创造和利用课程资源。下列选项中,可以成为思想品德课程资源的有()。 ①各类教育软件 ②红色旅游地 ③机关、企业、事业单位 ④学生与家庭成员 ⑤自然景观
A:①②③
B:①②③④
C:②③④⑤
D:①②③④⑤
如果个体对环境保持积极态度,就会克服环境中的消极阻力,扩大发展空间。
1867年,英国宪政学家沃尔特·巴奇霍特在《英国宪政》中写道:“英国政体有效运行的秘密在于行政权和立法权之间的密切结合,一种几乎完全的融合„„它的优点恰在于二者之间的奇妙结合。”英国行政权和立法权之间的实际连接点是()
A:国王
B:议会
C:首相
D:最高法院
清朝采用密折制度,允许和鼓励四品以上的中央和地方官员,直接向皇帝递折奏事,甚至是风闻奏事,皇帝朱批后迅速发回,既快又保密。密折制度的实行()
A:意在解决决策依据与驾驭官僚队伍问题
B:没有起到任何积极的社会作用
C:表明奏折上报的渠道被堵塞
D:目的是弥补军机处办事效率低下
首页
<上一页
871
872
873
874
875
下一页>
尾页