自考题库
首页
所有科目
自考历年真题
考试分类
关于本站
游客
账号设置
退出登录
注册
登录
出自:电气工程公共基础
如图4-62所示质量为m的三角形物块,其倾斜角为θ,可在光滑的水平地面上运动。质量为m的矩形物块又沿斜面运动。两块间也是光滑的。该系统的动力学特征(动量、动量矩、机械能)有守恒情形的数量为()。
A:0个
B:1个
C:2个
D:3个
基于浏览器条件下,以下
不属于
HTML5在移动互联网开发中的优势的是?()
A:一次编写四处运行。
B:性能最高。
C:成本低廉。
D:适合精益创业。
物联网的标准化工作在全球的多个标准化组织竞相展开,包括国际标准化组织(如ITU、ISO和IEC)、区域性标准化组织(如ETSI)、国家标准化组织(如CCSA、ATIS、TTA、TTC)、行业标准化组织、论坛和任务组(如IETF、IEEE、OMA)等,这些标准化组织各自沿着()的领域进行研究,所开发的标准有重叠也有分工,但他们之间的竞争大于合作,目前尚缺乏整体的协调、组织和配合。()
A:共同关注的
B:有探索价值的
C:自己擅长的
D:相关技术的
稳压二极管是利用二极管工作在()
A:正向导通
B:反向截止
C:反向击穿
D:反向饱和
已知某一元弱酸的浓度为0.01mol/L,pH=4.55,则其解离常数Ka为()。
A:5.8×10-2
B:9.8×10-3
C:8.6×10-7
D:7.97×10-8
用电阻法测量变压器绕组的温升是绕组的()温升。
A:最热点
B:平均
C:油平均
D:顶层
下列信号属于模拟信号的是()。
A:
B:
C:
选择网络拓扑结构要综合各方面因素决定,可考虑以下几个方面?()
A:Wlan覆盖范围
B:Wlan负载能力
C:用户使用Wlan的目的
D:不同的应用采用不同的Wlan方案
如图6-10所示,水库上下游水深h1=6m、h2=5m,闸板高h=3m,宽1m。则闸板上的水压力为()kN。
A:29.4
B:58.8
C:14.7
D:9.81
如图4-2所示,将大小为100N的力F沿x、y方向分解,若F在x轴上的投影为50N,而沿x方向的分力的大小为200N,则F在y轴上的投影为()。
A:0
B:50N
C:200N
D:100N
如下三相异步电动机的运行效率说法正确的是()。
A:运行效率与功率为单调增关系
B:若PM为效率最高时的负载功率,则[0,PM]区间内的运行效率与功率为单调增关系
C:运行效率与功率为单调减关系
D:若PM为效率最高时的负载,则[0,PM]区间内的运行效率与功率为单调减关系
计算机的主存储器是指()。
A:RAM和C磁盘
B:ROM
C:ROM和RAM
D:硬盘和控制器
将4只电容为4μF的电容器串联起来,其等效电容为()μF。
A:16;
B:8;
C:4;
D:1。
如图7-70所示电路,Q1、Q2原始状态为11,当输入两个脉冲后的新状态为()。
A:00
B:01
C:11
D:10
三相正弦交流电路如图7-24所示,对称负载接成三角形,已知电源电压UL=220V,每相阻抗Z=15+j16.1(Ω),当AB相断路时,电流表的读数是()A。
A:10
B:5
C:17.3
D:8.6
设图示电路中的元件参数为已知,若采用支路电流法求解各支路电流,则需列写的最少独立方程个数为()。
A:4
B:3
C:2
D:1
价值工程的目标是提高产品的价值,即通过寻求()可靠地实现使用者所需功能。
A:最低的生产成本
B:最低的寿命周期成本
C:合理的生产成本
D:合理的寿命周期成本
雷电冲击试验时,为了减小雷电波形的震荡,设计冲击电压发生器时要尽量增大回路电感。
阻抗电压的电抗分量是变压器漏电抗与额定电流的乘积。()
钢丝绳作为缆风绳使用时,选用的安全系数为3.5,作为轻型起重绳使用时,安全系数为()。
A:2;
B:3;
C:5;
D:8。
设
,则fy(1,0)等于()。
A:1
B:2
C:0
如图4-54所示,平面机构在图示位置时,杆AB水平而杆OA铅直,若B点的速度νB≠0,加速度aB=0。则此瞬时杆OA的角速度、角加速度分别为()。
A:ω=0,α≠0
B:ω≠0,α≠0
C:ω=0,α=0
D:ω≠0,α=0
不能使用静电电压表的是()。
A:交流电压
B:直流电压
C:冲击电压
某一建设工程合同纠纷,经仲裁机构依法裁决后,当事人拒不履行仲裁裁决,则对方可以请求()执行该裁决。
A:人民法院
B:仲裁机构
C:工商行政管理机关
D:建设行政主管部门
新安装的变压器,除按大修验收的内容进行验收之外,还应审查哪些内容?
对于不同铁心结构的Ynd联结变压器另序阻抗测量特点?
为了保护Piranha的web管理界面,加密web数据传输,我们还可以考虑使用()技术来强化用户端设备访问Piranha服务器的安全性
A:SSH
B:DNS
C:SNMP
D:SSL/TLS
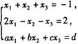
已知非齐次线性方程组
有两个不同的解,则增广矩阵的秩等于().
A:1
B:2
C:3
D:秩与a,b,c,d的值有关
雷电波是一种非周期性脉冲。()
在信息工程监理中,进度目标控制的主要方法有()。
A:全过程控制
B:行政方法
C:经济杠杆方法
D:利用管理技术的方法:规范、控制和协调能力
首页
<上一页
82
83
84
85
86
下一页>
尾页