自考题库
首页
所有科目
自考历年真题
考试分类
关于本站
游客
账号设置
退出登录
注册
登录
出自:专业知识考试
某建筑场地为松砂,天然地基承载力特征值为100kPa,孔隙比为0.78,要求采用振冲法处理后孔隙比为0.68,初步设计考虑采用桩径为0.5m,桩体承载力特征值为500kPa的砂石桩处理,按正方形布桩,不考虑振动下沉密实作用,距此估计初步设计的桩距和此方案处理后的复合地基承载力特征值最接近下列( )选项。
A:1.6m;140kPa
B:1.9m;140kPa
C:1.9m;120kPa
D:2.2m;110kPa
当利用振冲法消除地基液化时,关于处理范围,下列说法
不正确
的是( )。
A:在基础外缘扩大宽度不应小于基底下可液化土层厚度的1/2。
B:在基础外缘扩大宽度不应小于基底下可液化土层厚度的1/3。
C:宜在基础外缘扩大1~2排桩
D:宜在基础外缘扩大2~3排桩
在工程设计中,土的变形模量是通过()试验得到。()
A:三轴压缩
B:固结
C:平板载荷
D:现场直接剪切
建筑单桩竖向抗拔载荷试验时,试桩顶部露出地面高度不宜小于()mm。()
A:200
B:300
C:400
D:500
采取饱和软粘土I级原状土试样应( )?
A:快速连续静压
B:重锤少击
C:回转压入
D:冲击压入
岩石按其成因可分为( )三大类。
A:火成岩、沉积岩、变质岩
B:花岗岩、砂页岩、片麻岩
C:火成岩、深成岩、浅成岩
D:坚硬岩、硬岩、软岩
下述
不正确
的是()。
A:灌注桩的混凝土强度等级不得低于C25
B:预制桩的混凝土强度等级不得低于C30
C:承台的混凝土强度等级应符合耐久性要求
D:承台的最小埋深为500mm
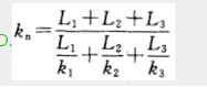
如图2所示的垂直层状含水层,其等效渗透系数kn为()。
A:
B:
C:
D:
岩溶发育的条件为( )。
A:具有可溶性岩层
B:具有溶解能力(含C.O2)和足够流量的水
C:地表水有下渗,地下水有流动的途径
D:D.+B.+C.
建筑基坑采用高压喷射注浆帷幕,其注浆孔垂直度的允许偏差为()。
A:1%
B:2%
C:3%
D:5%
在核电厂初步设计勘察阶段,常规岛地段的一般性勘探孔深度对岩质地基应进入()。
A:中等风化层1~3m
B:弱风化层1~3m
C:中等风化层3~5m
D:弱风化层3~5m
对已发生地面沉降的地区,可建议采用下列()方法进行控制和治理。()
A:减少地下水开采量和水位降深,调整开采层次
B:对地下水进行人工补给
C:限制工程建设中的人工降低地下水位
D:采用桩基础减少浅部土层的附加应力
建筑基坑壁侧向位移观测可根据现场条件使用()。
A:测水平角法
B:极坐标法
C:视准线法
D:前方交会法
民用建筑岩体洞室的勘探孔深度应穿越洞底设计标高以下( )?
A:10m
B:15m
C:2m
D:3~5m
对地震区可液化土的液化可能性进行判定时,不宜采用的方法是()。
A:静力触探
B:标准贯入
C:十字板剪切
D:剪切波速测试
碾压式土石坝反滤层可不考虑以下()要求。()
A:使被保护士不发生渗透变形
B:使坝体不致发生过量变形
C:渗透性大于被保护土,能畅通地排出渗透水流
D:不致被细黏土淤塞失效
计算桩基负摩阻力时,下述()
不正确
。()
A:负摩阻力是一种下拉荷载
B:桩端相对较硬时,中性点的位置距桩端的距离较远
C:群桩中基桩受到的负摩阻力一般不大于单桩的负摩阻力
D:负摩阻力一般不大于正摩阻力
下列()为海成地貌。()
A:河口三角洲
B:砂坝和砂堤
C:泄湖和海滨沼泽
D:砂嘴
根据《建筑边坡工程技术规范>规定,该规范适用于岩质边坡为()m以下。()
A:15
B:20
C:30
D:35
用水准仪检查预压载荷是通过检查堆载的()实现的。
A:容重
B:宽度
C:高度
D:粗细
按《建筑抗震设计规范》(GB50011-2010)要求进行抗震承载力验算时,下述
不正确
的说法是()。
A:天然地基基础抗震验算时,应采用地震作用效应基本组合值
B:地基抗震承载力应取深宽修正后的地基承载力特征值乘以抗震承载力调整系数
C:抗震承载力调整系数应根据建筑物的重要性级别确定
D:抗震承载力调整系数应根据设计地震烈度确定,且不得小于1.0
由桩和承台底土共同承担荷载的桩基称为()。
A:单桩基础
B:群桩基础
C:复合桩基
D:复合基桩
下列()项属于建筑安装工程直接费中的规费。()
A:社会保险费
B:住房公积金
C:工程排污费
D:工会经费
对土工合成材料地基进行检验时,下述()是主控项目。()
A:土工合成材料的有机质含量
B:土工合成材料的强度
C:土工合成构材料的搭接长度
D:每层铺设厚度
宜考虑承台效应的是()。
A:端承桩
B:一柱一桩的摩擦桩
C:上部结构整体刚度好、体型简单的摩擦桩
D:三角形三桩承台下的桩
关于CFG桩中褥垫层在复合地基中的作用,下述正确的是()。()
A:保证桩土共同承担荷载
B:褥垫层较厚时,桩承担的荷载比例相对较小
C:褥垫层的设置增加了基础底面的应力集中现象,使承载力得以提高
D:褥垫层较厚时,桩分担的水平荷载比例较大
混合岩属于下列( )岩类。
A:岩浆岩
B:浅变质岩
C:深变质岩
D:岩性杂乱的任何岩类
对倾斜岩层的厚度,下列()的说法是正确的()
A:垂直厚度总是大于真厚度
B:当地面与层面垂直时,真厚度等于视厚度
C:在地形地质图上,其真厚度就等于岩层界限顶面和底面标高之差
D:真厚度的大小与地层倾角有关
下列关于砂石桩施工顺序,错误的是()。
A:黏性土地基,从一侧向另一侧隔排进行
B:砂土地基,从中间向外围进行
C:黏性土地基,从中间向外围进行
D:临近既有建筑物,应自既有建筑物一侧向外进行
某建筑物纵墙基础上两端点为A、B,其基础沉降量分别为:S=80mm,SB=140mm,该纵墙基础中点C的沉降量S=130mm,则基础中点C的挠度值f(mm)为下列()项。()
A:10
B:20
C:30
D:40
首页
<上一页
79
80
81
82
83
下一页>
尾页