自考题库
首页
所有科目
自考历年真题
考试分类
关于本站
游客
账号设置
退出登录
注册
登录
出自:基础考试
圆截面轴的危险面上受有弯矩M
y
、扭矩M
T
和轴力N
x
作用图5-10-15,则关于危险点的应力状态有下列四种,请判断哪一种是正确的:()
A:A
B:B
C:C
D:D
如图所示,两重物M
1
和M
2
的质量分别为m
1
和m
2
,两重物系在不计重量的软绳上,绳绕过均质定滑轮,滑轮半径r,质量为M,则此滑轮系统的动量为:()
A:A
B:B
C:C
D:D
关于图示梁上a点的应力状态有下列四种答案:()
A:A
B:B
C:C
D:D
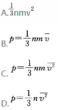
理想气体的压强公式是:()
A:A
B:B
C:C
D:D
图示空气管道横断面上的压力计液面高差h=0.8m,该断面的空气相对压强为:()
A:9.0kPa
B:8.4kPa
C:7.84kPa
D:-7.84kPa
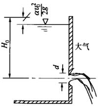
有一恒定出流的薄壁小孔口如图所示,作用水头H
0
=4m,孔口直径d=2cm,则其出流量Q为:()
A:1.82×10
-3
m
3
/s
B:1.63×10
-3
m
3
/s
C:1.54×10
-3
m
3
/s
D:1.72×10
-3
m
3
/s
已知单自由度系统的振动固有频率w
n
=2rad/s,若在其上分别作用幅值相同而频率为w
1
=1rad/s;w
2
=2rad/s,w
3
=3rad/s的简谐干扰力,则此系统强迫振动的振幅为:()
A:w
1
=1rad/s时振幅最大
B:w
2
=2rad/s时振幅最大
C:w
3
=3rad/s时振幅最大
D:不能确定
用积分法计算图示梁的挠度,其支承条件和连续条件为:()
A:A
B:B
C:C
D:D
质量为m,长为2ι的均质细杆初始位于水平位置,如图所示。A端脱落后,杆绕轴B转动,当杆转到铅垂位置时,AB杆角加速度的大小为:()
A:A
B:B
C:C
D:D
已知CaCO
3
和PbI
2
的溶度积均约为1×10
-9
,两者在水中的溶解度分别为S
1
和S
2
。下列二者的关系中正确的是哪一个?()
A:S
1
B:2S
1
=S
2
C:S
1
>S
2
D:S
1
=S
2
已知简支梁受如图所示荷载,则跨中点C截面上的弯矩为:()
A:A
B:B
C:C
D:D
有两列频率不同的声波在空气中传播,已知ν
1
=500Hz的声波在其传播方向相距为L的两点的振动相位差为π,那么频率ν
2
=1000Hz的声波在其传播方向相距为L/2的两点的相位差为:()
A:π/2
B:π
C:3π/4
D:3π/2
下列两个电极反应()
A:(1)变小,(2)变小
B:(1)变大,(2)变大
C:(1)变小,(2)变大
D:(1)变大,(2)变小
下列化合物中命名为2、4-二氯苯乙酸的物质是:()
A:A
B:B
C:C
D:D
一定质量的理想气体,在温度不变的条件下,当压强降低时,分子的平均碰撞次数
和平均自由程
的变化情况是:()
A:
和
都增大
B:
和
都减小
C:
减小而
增大
D:
增大而
减小
点沿轨迹已知的平面曲线运动时,其速度大小不变,加速度a应为:()
A:A
B:B
C:C
D:D
对于化学反应3Cl
2
+6NaOH=NaClO
3
+5NaCl+3H
2
O下列评述中,对Cl
2
在该反应中所起的作用的正确评述是()。
A:Cl
2
既是氧化剂,又是还原剂
B:Cl
2
是氧化剂,不是还原剂
C:Cl
2
是还原剂,不是氧化剂
D:Cl
2
既不是氧化剂,又不是还原剂
当采用对地下水回灌的方法控制地面沉降时,应特别注意()。
A:控制总体回灌量,防止超量回灌
B:控制单位时间回灌量,提高回灌效率
C:控制回灌时间,以节约投资
D:控制回灌水源水质标准,防止污染地下水
下列命题等式中,错误的是()
A:A
B:B
C:C
D:D
地形图上0.1mm的长度相应于地面的水平距离称为:()
A:比例尺
B:数字比例尺
C:水平比例尺
D:比例尺精度
方形和矩形断面的渠道断面1及2如图所示。若两渠道的过水断面面积相等,底坡i及壁面的粗糙系数n皆相同,均匀流的流量关系是:()
A:Q
1
=Q
2
B:Q
1
>Q
2
C:Q
1
D:不确定
两红线桩A、B的坐标分别为x
A
=1000.000m、y
A
=2000.000m,x
B
=1060.000m、y
B
=2080.000m;欲测设建筑物上的一点M,x
M
=991.000m、yx
M
=2090.000m。则在A点以B点为后视点,用极坐标法测设M点的极距D
AB
和极角∠BAM分别为:()
A:90.449m、42°34’50"
B:90.449m、137°25’10"
C:90.000m、174°17’20"
D:90.000m、95°42’38"
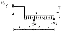
图示结构A支座反力偶的力偶矩MA为(下侧受拉为正):()
A:-ql
2
/2
B:ql
2
/2
C:ql
2
D:2ql
2
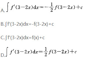
下列各式中正确的是哪一个?(c为任意常数)( )
A:A
B:B
C:C
D:D
等精度观测是指在下列中的哪种条件下观测的?()
A:允许误差相同
B:系统误差相同
C:观测条件相同
D:偶然误差相同
在岩体锚固荷载监测时,重要工程或部位的测力计安装数量应为工程锚索根数的()。
A:1%
B:5%
C:10%
D:20%
实际工程中岩体应力主要来自与()。
A:岩体自重
B:地质构造
C:地形势
D:剥蚀作用和封闭
高强度螺栓摩擦型连接中,螺栓的抗滑移系数主要与:()
A:螺栓直径有关
B:螺栓预拉力值有关
C:连接钢板厚度有关
D:钢板表面处理方法有关
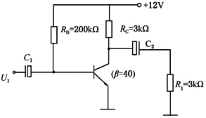
如图所示为共发射极单管电压放大电路,估算静态点的IB、IC、UCE分别为()。
A:57μA;2.8mA;3.5V
B:57μA;2.8mA;8V
C:57μA;4mA;0V
D:30μA;2.8mA;3.5V
物块重P,置于水平面上,静滑动摩擦系数为f。在物块上施加一倾角为α的拉力
,则物块是否平衡取决于()。
A:
,
合力的大小
B:全反力
的大小
C:
,
合力作用线的方位
D:不能判定
首页
<上一页
77
78
79
80
81
下一页>
尾页