自考题库
首页
所有科目
自考历年真题
考试分类
关于本站
游客
账号设置
退出登录
注册
登录
出自:电气工程公共基础
双积分型数字电压表是否需要取样-保持电路?请说明理由。
试述DY型绝缘板耐电压强度的试验方法。
对于双绕组电力变压器的低压绕组,都可以使用传递法进行雷电冲击试验的考核。()
变压器空载试验中,额定空载损耗p0及空载电流i0的计算值和变压器额定电压un与试验施加电压u0比值(un/u0)之间的关系,在下述各项描述中,( )项最准确(其中,u0的取值范围在0.1~1.05倍un之间)
A:p0、i0与(un/u0)成正比
B:p0与(un/u0)成正比i0与(un/u0)成正比
C:p0与(un/u0)n成比例i0与(un/u0)m成比例,而n=1.9~2.0m=1~2
D:当(un/u0)=1.0时,p0及i0的计算值等于试验测得值
图7.4-17所示固定偏置的晶体管放大电路中,晶体管工作于放大区,则该电路的电压放大倍数A及输入电阻分别为()。
A:
B:
C:
D:
信息可以以编码的方式载入()。
A:数字信号之中
B:模拟信号之中
C:离散信号之中
D:采样保持信号之中
计算机软件系统包括()。
A:系统软件和工具软件
B:系统软件和应用软件
C:字处理和图形软件
D:多媒体和系统软件
交流单相电力电缆的金属护层,必须直接接地,且在金属护层上任一点非接地处的正常感应电压,且必须符合的规定有( )。
A:未采取不能任意接触金属护层的安全措施时,不得大于50V
B:接地电阻值符合电气装置保护上和功能上的要求,并要求长期有效
C:必须采取保护措施防止由于电蚀作用而引起对其他金属部分的危害
D:能承受接地故障电流和对地泄漏电流,特别是能承受热、热的机械应力和电的机械应力而无危险
齐明点
在流体的管路中,通流面积大的地方,流速()。
A:大
B:小
C:不变
在麦克斯韦速率分布律中,速率分布函数f(ν)的意义可理解为()。
A:速率大小等于ν的分子数
B:速率大小在ν附近的单位速率区间内的分子数
C:速率大小等于ν的分子数占总分子数的百分比
D:速率大小在ν附近的单位速率区间内的分子数占总分子数的百分比
虚光程
PLD开发系统需要有()。
A:计算机
B:编程器
C:开发软件
D:操作系统
方程x-cosx-1=0在下列区间中至少有一个实根的区间是().
A:(-≥,0)
B:(0,π)
C:(π,4)
D:(4,+∞)
要想浏览WWW信息,必须在用户的计算机上安装的软件是()。
A:Internet浏览器
B:WORD
C:Excel
D:FrontPage
石英晶体振荡器的突出优点是()。
A:速度快高
B:电路简单
C:振荡频率稳定
D:输出波形边沿陡峭。
平面汇交力系(F1,F2,F3,F4,F5)的力多边形如图4-4所示,则该力系的合力F等于()。
A:F3
B:-F3
C:F2
D:-F2
椭圆偏振光
TTL集成单稳态电路的暂稳态时间tw为()。
A:0.7RxCx
B:RxCx
C:1.1RxCx
D:2.2RxCx
某人现年40岁,现有2万元存款,因为他将在60岁时退休,退休时他想有10万元存款,以保证生活水平不至降低。假设退休时单位可以支付1万元退休金,从现在开始每年年末他将均等地存入银行一笔钱,那么,为达到退休时有10万元的积蓄,则应存款()元。已知:(F/P,5%,20)=2.653,(F/A,5%,20)=33.066。
A:2456.4
B:1117.2
C:3256.7
D:1846.7
下列哪一项
不属于
机房的三度要求()。
A:温度小于35
B:湿度小于65
C:洁净度
D:清晰度
增益的空间烧孔效应
生活中的下列现象,属于化学变化的是()
A:夏季柏油路面“变软”
B:水遇冷结冰
C:食物腐败变质
D:冬季钢轨之间缝隙加大
下列属于时序逻辑电路的是()。
A:同步计数器
B:数码寄存器
C:译码器
D:异步寄存器
汽蚀形成过程要发生汽泡溃灭,溃灭形成的冲击频率最高可达每秒()。
A:几十次
B:几百次
C:几千次
D:几万次
光子简并度
如图7-57所示,将放大倍数为1,输入电阻为1kΩ,,输出电阻为50Ω的射极输出器插接在信号源(uS,RS)与负载(RL)之间,形成图b电路,与图a电路相比,负载电压的有效值为()。
A:
B:
C:
D:因为uS未知,不能确定之间的关系
下列选项
不正确
的说法是()。
A:所有的信号都能用确定的时间函数来描述
B:在时域中模拟信号用连续的时间函数描述
C:若交流电压信号是周期信号,可用周期时间函数描述
D:阶跃信号是非周期信号zo,可用单位阶跃函数描述
在GB1094.3-2003标准中规定,对于Um≥300kV的绕组,操作冲击试验为()。
A:例行试验
B:特殊试验
C:型式试验
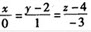
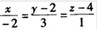
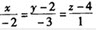
过点(0,2,4)且与两平面x+2z=1和y-3z=2平行的直线方程是().
A:
B:
C:
D:
首页
<上一页
78
79
80
81
82
下一页>
尾页