自考题库
首页
所有科目
自考历年真题
考试分类
关于本站
游客
账号设置
退出登录
注册
登录
出自:质量、投资、进度控制
双代号网络计划中,如果计划工期等于计算工期,且工作i-j的结束节点j在关键线路上,则工作i-j的自由时差()。
A:等于零
B:小于零
C:大于零
D:等于其总时差
施工过程中由偶然性因素引起的质量波动,一般属于()。
A:系统波动
B:偶然波动
C:正常波动
D:非正常波动
总承包合同管理模式下进度管理的主要特点是()。
A:采购程序的复杂性
B:设计细节的不确定性
C:采购过程外部条件的影响性
D:采购数量的不确定性
监理依据的主要内容有()。
A:有关设备工程建设及质量管理方面的法律、法规
B:有关设计的技术标准,如各种设计规范、规程、标准,设计参数的定额、指标等
C:经批准的项目可行性研究、项目评估计划等
D:体现业主使用性能要求的设计报告
E:反映项目建成后所需要的有关技术、资源、经济、社会协作等方面的协议、数据和资料
()是一个系统的控制过程,设备工程质量的形成过程具有多个环节,质量影响因素也是多方面的,且各个程环节相互联系,相互制约,各类影响因素相互联系,共同作用。
A:质量管理过程
B:设备制造过程
C:设计策划过程
D:设备采购过程
质量管理中的统计方法中,调查表的程序有( )。
A:确立收集数据的具体目的
B:识别为达到目的所需要的数据
C:确定由谁以及如何分析数据
D:通过收集和记录某些数据来试用表格
E:归纳并分析数据
()决定了设备的固有质量。
A:工艺质量
B:施工阶段
C:工程监理
D:设计
在出口信贷的形式中,有一种形式是由出口国银行把出口信贷贷给进口国银行,再由进口国银行转贷给买方,它属于()。
A:买方信贷
B:卖方信贷
C:出口国信贷
D:进口国信贷
()的进度目标是设备制造和安装目标实现的前提条件,也是实现设备工程总体进度目标的物质保证。
A:设备采购
B:设备工程设计
C:设备调试
D:设备试运行
在某工程双代号网络计划中,工作M的最早开始时间为第15d,其持续时间为7d。该工作有两项紧后工作,它们的最早开始时间分别为第27d和第30d,最迟开始时间分别为第28d和第33d,则工作M的总时差和自由时差为()d。
A:均为5
B:分别为6和5
C:均为6
D:分别为11和6
质量管理的职能是通过()质量管理体系来实现。
A:建立
B:实施
C:保持
D:控制
E:持续改进
设备监理工程师在设备设计、采购过程中投资管理主要通过()来实现。
A:设备采购招标评标
B:合同价格的确定
C:合同管理
D:工艺技术设计
E:设备布置
下列双代号网络计划时间参数计算式,正确的有()。
A:ES
i-j
=ES
h-i
-D
h-i
B:LS
i-j
=min(LF
j-k
-D
j-k
)
C:TF
i-j
=LS
i-j
-ES
i-j
D:FF
i-j
=ES
j-k
-ES
j-k
-D
i-j
E:LF
i-j
=min(LF
j-k
-D
j-k
)
设备安装过程中,设备监理工程师需协助业主完成的工作有()。
A:编制设备安装阶段进度控制监理工作细则
B:确认对设备安装各项工作所做的进度安排
C:确定安装施工单位
D:确定设备安装的工期目标
E:办理有关工程建设手续(施工许可、质量监督等)
设备设计概算的编制依据包括()。
A:批准的设计任务书和上级批准的其他有关文件
B:初步设计方案或扩大初步设计方案
C:概算定额与概算指标
D:地区规定的取费文件及其他规定
E:委托合同书
以下有关索赔费用构成的说法中,正确的是()。
A:索赔费用通常包括间接费
B:分包费的索赔应单独计划,不应列入总承包商的索赔费用总额中
C:索赔费用中通常不包括利润
D:总部管理费的索赔,目前还缺乏统一的方法
在设备工程的实施过程中,要求设备监理工程师定期地(),发现问题及时采取有效措施加以解决。
A:加工处理收集到的实际进度数据
B:调查分析进度偏差产生的原因
C:进行实际进度与计划进度的对比分析
D:跟踪检查进度计划的执行情况
下列指标中属于比率型指标的是()。
A:净现值
B:内部收益率
C:净年值
D:投资回收期
()是要定量地确定整个量程范围内示值与基准值的差异量。
A:校定
B:校准
C:验证
D:确认
设备监理工程师应首先对质量改进的过程实施管理,质量改进是提高满足要求的能力,设备制造过程中无论出现不合格项,还是出现不合格品,都要审查()。
A:确保正确识别主要原因
B:评审纠正和预防措施的需求
C:确定纠正和预防措施
D:纠正和预防措施有效性评审
E:记录所纠正和预防措施
()是依据国家或企业、地方的定额指标和取费标准以及设备和材料价格等来估算初始投资。
A:功能单元法
B:指标估算法
C:生产能力指数法
D:资金周转率法
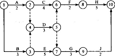
某工程双代号网络计划如下图所示,其关键线路有()条。
A:2
B:3
C:4
D:5
设备工程初步设计阶段需要完成()工作。
A:编制技术任务书
B:确定设备的基本参数
C:编制设计概算
D:编制技术设计说明书
E:完成设计报批
下列关于双代号时标网络计划的表述中,正确的有()。
A:工作箭线左端节点中心所对应的时标值为该工作的最早开始时间
B:工作箭线中波形线的水平投影长度表示该工作与其紧后工作之间的时距
C:工作箭线中实线部分的水平投影长度表示该工作的持续时间
D:工作箭线中不存在波形线时,表明该工作的总时差为零
E:工作箭线中不存在波形线时,表明该工作与其紧后工作之间的时间间隔为零
资金的时间价值是指()。
A:现在所拥有的资金在将来投资时所能获得的收益
B:现在所拥有的资金在将来消费时所付出的福利损失
C:资金在生产和流通过程中随时间推移而产生的增值
D:可用于储蓄或贷款的资金在储蓄或贷款时所产生的利息
设备制造合同价格的确定方法包括()。
A:投资估算指标法
B:成本计算估价法
C:定额估价法
D:系列(或类似)设备插入估价法
E:市场价格法
6σ管理法是以项目的()为主线,以数据和数理统计技术为基础,以满足顾客需求为导向,以零缺陷和卓越质量为追求,以科学的工作程序为模式,以取得效益的目的的一种质量改进方法。
A:策划
B:实施
C:策划和实施
D:管理
不属于
设备工程质量管理中应遵循的原则的是()。
A:以预防为主,过程与结果并重
B:满足顾客质量要求,坚持持续改进
C:坚持质量与价值的统一
D:坚持质量管理的系统过程,实施重点控制
按照项目法入责任制原则,项目业主负责的范围包括()。
A:费用支出的控制
B:工程建设的成败
C:筹措项目的建设资金
D:建设资金的运用及还款利息
E:最终的投资效益
不属于
设备制造过程改进内容的有()。
A:持续改进
B:纠正措施
C:管理控制
D:预防措施
首页
<上一页
6
7
8
9
10
下一页>
尾页