自考题库
首页
所有科目
自考历年真题
考试分类
关于本站
游客
账号设置
退出登录
注册
登录
出自:专业知识考试
建筑基坑工程中地下水位监测,当监测点用于检验降水井降水效果时,观测管的管底埋置深度应在()。
A:最低设计水位之下1~3m
B:最低允许地下水位之下1~3m
C:最低设计水位之下3~5m
D:最低允许地下水位之下3~5m
某建筑基坑深度6m,采用重力式水泥土墙支护结构,地基土为淤泥质土,其重力式水泥土墙的坑底嵌固深度不宜小于()m,其墙的宽度不宜小于()m。()
A:7.2;4.2
B:7.8;4.2
C:7.2;4.8
D:7.8;4.8
对于Ⅲ类建筑场地,设计基本地震加速度为0.15g的地区,当没有其他规定时,宜按()的要求采取抗震构造措施。()
A:6度
B:7度
C:8度
D:9度
崩塌地区工程地质测绘,崩塌方向主剖面的比例尺宜采用()。
A:1:100
B:1:200
C:1:300
D:1:500
对折线型滑面的滑坡、计算滑坡推力可采用()法。
A:滑坡推力传递法
B:块体极限平衡法
C:圆弧滑动面法
D:简化毕肖普法
按《建筑地基基础设计规范》(GB50007-2011),基础埋置深度应按下列()条件确定。()
A:建筑物的用途,有无地下室,设备基础和地下设施,基础的形式和构造
B:作用在地基上的荷载大小和性质
C:工程地质和水文地质条件
D:相邻建筑物的上部结构形式
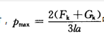
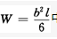
础尺寸与荷载如习图3.2.1所示,下列选项正确的是()。
A:计算该基础角点下土中应力时,查表系数n=z/b中,b取3m
B:计算基础底面的抵抗矩中
,b取3m
C:计算地基承载力宽度修正时,b取3m
D:计算大偏心基底反力分布时,
中,l取6m
下述矿物中硬度最大的是()。
A:萤石
B:黄玉
C:长石
D:石英
影响标准贯入试验的因素有很多,下述说法中()是正确的。()
A:钻杆长度较大时,由于贯入时钻杆弯曲及一贻壁而消耗能量使得实际贯入能力下降而使得实测标贯击数偏高
B:由于土的自重压力增加,相同密度的土体标贯击数偏高
C:标准贯入击数与地下水无关
D:饱和粉细砂的密度不同时,对标准贯入击数的影响也是不同的
建筑物的扩展基础受力钢筋最小配筋率不应小于()。
A:0.10%
B:0.15%
C:0.20%
D:0.25%
水工建筑物抗震设计中所指的软土层包括下列()。
A:液性指数大于0.75的土
B:无侧限抗压强度qu≤80kPa的土
C:标准贯入锤击数
≤5的土
D:灵敏度
≥4的土
某硬质岩石,其岩体压缩波速度为3800m/s,岩块压缩波速度为4600m/s,则该岩体的完整程度分类应为下列()项。()
A:完整
B:较完整
C:较破碎
D:破碎
由刚性桩、柔性桩组成的多桩型复合地基,其垫层厚度宜取()。
A:柔性桩直径的1/2
B:刚性桩直径的1/2
C:柔性桩直径的1/4
D:刚性桩直径的1/4
建筑基坑支护桩桩径为d,其顶部设置混凝土冠梁,冠梁的宽度不宜小于(),其高度不宜小于()。
A:d;d
B:1.5d;d
C:d:0.6d
D:1.5d;0.6d
摩擦型桩,当采用锤击沉管方法成孔时,桩管入土深度控制以()为主,以贯入度控制为辅。()
A:标高
B:贯入阻力
C:锤击能量
D:贯入速度
在铁路工程中,主滑段滑面与层面一致,较平直成微波浪状,滑带厚度视构成滑带物质的厚度而定,该类滑坡属于()。
A:堆积面滑坡
B:层面滑坡
C:构造面滑坡
D:同生面滑坡
当采用低应变法对工程桩进行检测时,检测开始时间应符合()要求。()
A:受检桩混凝土强度至少达到设计强度的70%
B:受检桩混凝土强度至少达到15MPa
C:受检桩混凝土龄期至少达到28d
D:A+B
在价值工程中,当价值系数( )时,应优先作为改进的对象。
A:V>1
B:V<1
C:V=1
D:V≠1
在铁路工程中,泥石流固体物质一次最大冲出量为4×10
4
m
3
,可划分为()泥石流。()
A:小型
B:中型
C:大型
D:特大型
某地区多年冻土为黏性土,平均融沉系数δ0=2.3%,塑限ωp=22%,总含水量ω0=25%,判断该地区多年冻土的融沉等级和类别为()。
A:Ⅰ(不融沉)
B:Ⅱ(弱融沉)
C:Ⅲ(融沉)
D:Ⅳ(强融沉)
下列关于荷载组合的叙述,正确的是()。
A:上人的屋面均布活荷载,可不与雪荷载同时组合
B:上人的屋面均布活荷载,可不与雪荷载和风荷载同时组合
C:不上人的屋面均布活荷载,可不与雪荷载同时组合
D:不上人的屋面均布活荷载,可不与雪荷载和风荷载同时组合
某泥石流平均两年左右发生一次,流域面积为5km
2
,堆积区面积为1km
2
,按《岩土工程勘察规范》(GB50021-2001)(2009版),该泥石流类型应为()。
A:Ⅰ1
B:Ⅰ2
C:Ⅱ1
D:Ⅱ2
对承载力特征值为200kPa的黏性土,进行抗震验算时,其地基土抗震承载力调整系数应为()。
A:1.0
B:1.1
C:1.3
D:1.5
注水试验可测得地下水的()。
A:渗透系数
B:给水度
C:越流因数
D:单位吸水率
关于土的活动性指数下述说法中正确的是()。
A:活动性指数用来表征土体的微结构
B:活动性指数用来衡量黏土矿物吸附结合水的能力
C:用来表示
D:用来表示
某单体工程地基采用桩网复合地基,其总桩数为2000根,对桩施工质量的检验,则单桩静载试验数量不应少于()根。()
A:3
B:4
C:5
D:10
从正确的判别砂土和粉土液化可能性角度来看,标贯试验必需满足三个要求是( )。
A:自动落锤
B:回转钻进
C:干钻
D:泥浆护壁
建筑物柱下独立基础进行现场复合地基载荷试验时,其承压板宽度一般宜按()确定。()
A:处理深度
B:基础埋深
C:基础长度
D:基础宽度
某淤泥性土的孔隙比e=1.5,含水率w=58,该土的名称为()。
A:淤泥质土
B:淤泥
C:流泥
D:浮泥
地基承载力作深度修正时,对设有地下室的条形基础而言,基础埋置深度应( )。
A:从天然地面标高算起
B:自室外地面标高算起
C:自地下室的室内地面标高算起
D:取室内、室外的平均埋深
首页
<上一页
6
7
8
9
10
下一页>
尾页