自考题库
首页
所有科目
自考历年真题
考试分类
关于本站
游客
账号设置
退出登录
注册
登录
出自:基础考试
在液压枕埋入解除槽、砂浆填筑捣实后应养护()天。
A:7
B:14
C:21
D:28
化学反应低温自发,高温非自发,该反应的:()
A:△H<0,△S<0
B:△H>0,△S<0
C:△H<0,△S>0
D:△H>0,△S>0
简支梁受分布荷载作用如图所示。支座A、B的约束力为:()
A:A
B:B
C:C
D:D
两种土工织物的水平渗透系数相同,但它们的厚度不同,则()
A:厚度小的材料导水率小
B:厚度大的材料导水率小
C:厚度小的材料导水率大
D:厚度大的材料导水率大
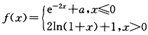
如果把图示电路中的变压器视为理想器件,
时,()。
A:A
B:B
C:C
D:D
圆轴受力如图,下面4个扭矩图中正确的是:()
A:A
B:B
C:C
D:D
根据《地基规范》,次生红粘土的液限ω
L
一般为:()
A:ω
L
>50%
B:ω
L
>60%
C:45%<ω
L
<50%
D:40%<ω
L
<45%
岩体基本质量主要由哪几个因素决定()。
A:岩体的坚硬程度
B:岩体的强度
C:岩体弹性模量
D:岩体的完整程度
土工织物用作反滤材料时,要求:()
A:土工织物能阻止土颗粒随水流失
B:土工织物具有一定的透水性
C:土工织物不能既透水又能阻止土颗粒随水流失
D:以上说法均不正确
如图所示诸单元体中,标示正确的是:()
A:A
B:B
C:C
D:D
悬臂梁AB由三根相同的矩形截面直杆胶合而成,材料的许可应力为[σ],若胶合面开裂,假设开裂后三根杆的挠曲线相同,接触面之间无摩擦力,则开裂后的梁承载能力是原来的:()
A:1/9
B:1/3
C:两者相同
D:3倍
在波长为λ的驻波中,两个相邻波腹之间的距离为:()
A:λ/2
B:λ/4
C:3λ/4
D:λ
渗透力是指作用在()土体颗粒上的水流作用力。
A:总体积
B:单位体积
C:与体积无关
D:与质量有关
微型计算机的发展以()技术为标志。
A:操作系统
B:微处理器
C:磁盘
D:软件
在建筑施工场地常采用施工坐标系,施工坐标系与所在地区的测量坐标系之间的关系通常为:()
A:同一坐标系
B:坐标原点不同,坐标轴方向不同
C:坐标原点相同,坐标轴方向不同
D:坐标原点不同,坐标轴方向相同
电解K
2
SO
4
水溶液,阴阳两极产物分别是()。
A:H
2
,O
2
B:KOH,H
2
C:H
2
,KOH
D:O
2
,H
2
图示体系不计阻尼的稳态最大动位移y
max
=4PI
3
/9EI,其最大动力弯矩为:()
A:7Pl/3
B:4Pl/3
C:Pl
D:Pl/3
如图所示,左端固定的直杆受扭转力偶作用,在截面1-1和2-2处的扭矩为:()
A:12.5kN·m,-3kN·m
B:-2.5kN·m,-3kN·m
C:-2.5kN·m,3kN·m
D:2.5kN·m,-3kN·m
波长为λ的X射线,投射到晶体常数为d的晶体上,取k=0,2,3,…,出现X射线衍射加强的衍射角θ(衍射的X射线与晶面的夹角)满足的公式为:()
A:2dsinθ=Kλ
B:dsinθ=Kλ
C:2dcosθ=Kλ
D:dcosθ=Kλ
水泥搅拌桩复合地基承载力取决于()
A:水泥强度
B:搅拌桩承载力
C:原地基承载力
D:面积置换率
图示三角形单元体,已知ab、ca两斜面上的正应力为σ,剪应力为零。在竖直面bc上有:()
A:A
B:B
C:C
D:D
将反应MnO
2
+HCl→MnCl
2
+Cl
2
+H
2
O配平后,方程中MnCl的系数是:()
A:1
B:2
C:3
D:4
施工现场只要有设计图纸作为依据就足够。
设函数
,要使f(x)在x=0处连续,则常数a的值为( )。
A:0
B:1
C:-1
D:2
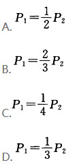
图示结构K截面剪力为:()
A:0
B:P
C:-P
D:P/2
图示结构中,梁式杆上A点右截面的内力(绝对值)为:()
A:A
B:B
C:C
D:D
用劈尖干涉法可检测工件表面缺陷,当波长为λ的单色平行光垂直入射时,若观察到的干涉条纹如图所示,每一条纹弯曲部分的顶点恰好与其左边条纹的直线部分的连线相切,则工件表面与条纹弯曲处对应的部分应:()
A:凸起,且高度为λ/4
B:凸起,且高度为λ/2
C:凹陷,且深度为λ/2
D:凹陷,且深度为λ/4
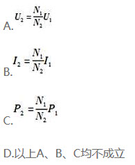
图5-10-9所示直杆,承受P
1
与P
2
作用,若使A点处正应力σ
A
为零,则P
1
与P
2
间关系为:()
A:A
B:B
C:C
D:D
下称各化合物的结构式,
不正确
的是:()
A:A
B:B
C:C
D:D
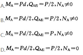
图示结构,EI=常数。结点C处弹性支座刚度系数k=3EI/L
3
,B点的竖向位移为:()
A:L
3
/2EI
B:L
3
/3EI
C:L
3
/4EI
D:L
3
/6EI
首页
<上一页
77
78
79
80
81
下一页>
尾页