自考题库
首页
所有科目
自考历年真题
考试分类
关于本站
游客
账号设置
退出登录
注册
登录
出自:电气工程公共基础
某风机用于将常温空气经空气预热器加热后供给制粉系统,工作条件较好,基本上不存在磨损,具有较高的效率,则该风机为()。
A:排粉风机
B:引风机
C:送风机
D:再循环风机
集成D/A转换器可以用来构成()。
A:加法器
B:程控放大器
C:数-模转换
D:波形发生电路
对于水箱水位恒定为5m的薄壁小孔口(孔径为100mm)自由出流,流经孔口的流量为()。
A:60L/s
B:40L/s
C:80L/s
D:120L/s
如图7-20所示电路,u=141sin(314t-30°)V,i=14.1sin(314t-60°)A,这个电路的有功功率P等于()W。
A:500
B:866
C:1000
D:1988
通过需方提供交付成果以实现()。
A:服务供方的业务目标
B:需方的服务要求
C:服务价值
D:服务级别协议的要求
存储器可分为()。
A:RAM和ROM
B:硬盘与软盘
C:内存储器和外存储器
D:ROM和EPROM
34号元素最外层的电子构型为()。
A:3s23p4
B:4s24p5
C:4s24p2
D:4s24p4
在OSI模型中,第N层和其上的N+1层的关系是()。
A:N层为N+1层服务
B:N+1层将从N层接收的信息增加了一个头
C:N层利用N+1层提供的服务
D:N层对N+1层没有任何作用
变压器的温升限值应根据安装地点的海拔高度进行修正.( )
在TTL集成与非门中,多发射极晶体管T1的主要作用是()。
A:倒相
B:逻辑乘
C:提高带负载能力
D:提高抗干扰能力
设A是一个n阶方阵,已知|A|=2,则|-2A|等于().
A:
B:
C:
D:-22
冲击电压发生器时利用电容串联充电并联放电来工作的。
常用的PLD有()几种主要类型。
A:PROM
B:PLA
C:PAL
D:GAL
以下关于双拍和单拍接收寄存器的说法错误的是()。
A:双拍接收寄存器存前要清零,单拍不必
B:单拍接收寄存器存前要清零,双拍不必
C:两者都必须清零
D:两者都不必清零
若
,则a的值是().
A:-3
B:3
C:-5
D:5
绝缘油的氧化分为哪三个阶段,其特征是什么?
两台相同性能的风机在稳定区并联运行,并联工作点的流量为Q并,现若其中一台故障停机,由单台风机运行(设管路特性曲线不变),工作点流量为Q单,则Q并与Q单的相互关系为()。
A:Q并=Q单
B:Q并=2Q单
C:Q单
D:Q并>2Q单
设(X1,X2,…,X10)是抽自正态总体N(μ,σ2)的一个容量为10的样本,其中-∞<μ<+∞,σ2>0,记服从x2分布,其自由度为()。
A:9
B:8
C:7
D:10
变压器中产生局部放电的几种典型结构有引线.端部绝缘结构.突出的金属电极和杂质。()
设A,B是n阶对称阵,Λ是对角阵,下列矩阵中不是对称阵的是().
A:A+2E
B:A+Λ
C:AB
D:A-B
线性函数
对于信息系统工程分包单位的审查,监理方审查的重点内容是()。
A:分包合同工程款额度
B:分外单位的资质和能力
C:分包单位职责和义务
D:分包合同内容
进行变压器检修工作,工作负责人应提前填写()。
A:操作票;
B:工作票;
C:停电申请票;
D:报告单。
监理规划是监理单位在签订委托合同及收到设计文件后由()主持,()参加编制的,经()审核批准,用来指导项目监理机构全面开展工作的纲领性文件。
A:总监理工程师、专业监理工程师、监理单位技术负责人
B:总监理工程师、监理单位技术负责人、专业监理工程师
C:监理单位技术负责人、总监理工程师、专业监理工程师
D:监理单位技术负责人、专业监理工程师、总监理工程师
欲把不规则的输入波形变换为幅度与宽度都相同的矩形脉冲,应选择()电路。
A:多谐振荡器
B:基本RS触发器
C:单稳态触发器
D:施密特触发器
电压互感器低压侧两相电压降为零,一相正常,一个线电压为零则说明( )。
A:低压侧两相熔断器断
B:低压侧一相铅丝断
C:高压侧一相铅丝断
D:高压侧两相铅丝断
设函数f(x,y)在点(0,0)的某邻域内有定义,且
,则有().
A:
B:曲面z=f(x,y)在点(0,0,f(0,0))的一个法向量为3i-j+k
C:曲线在点(0,0,f(0,0))的一个切向量为i+3k
D:曲线在点(0,0,f(0,0))的一个切向量为3i+k
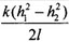
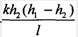
图6-33中,水平不透水层上的细沙含水层渗透系数k,两廊道中水位为h1、h2,相距ι,则单宽渗流流量g是()。
A:
B:
C:
D:都不正确
根据《建设工程勘察设计管理条例》的规定,确需修改建设工程设计文件的,应当由()修改。
A:建设单位、施工单位
B:原建设工程勘察、设计单位
C:监理单位、设计单位
D:原设计单位
能级寿命
首页
<上一页
77
78
79
80
81
下一页>
尾页