自考题库
首页
所有科目
自考历年真题
考试分类
关于本站
游客
账号设置
退出登录
注册
登录
出自:电气工程公共基础
如图所示,某轮A上装置一重为W的物块B,于某瞬时(t=0)由水平路面进入一曲线路面并继续以匀速v行驶。该曲线路面按的规律起伏(设坐标原点O1及坐标轴y1如图示)轮A进入曲线路面时,物块B在铅垂方向无速度已知弹簧的刚性系数为k。试求物B的强迫振动振幅和轮A的临界速度v为()。
A:
B:
C:
D:
招标公告应当载明招标人的名称和地址,招标项目的( )、实施地点和时间以及获取招标文件的办法等事项。
A:项目名称
B:性质
C:数量
D:资金来源
由D触发器组成的电路如图所示,该电路是()。
A:左移寄存器
B:右移寄存器
C:具有取数功能的数据存储器
D:具有存数功能的数据存储器
设α、β、γ都是非零向量,α×β=α×γ,则()。
A:A
B:B
C:C
D:D
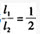
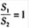
图示并联管路,已知两支管的比阻比
,管长比
,则两支管的流量比
()。
A:1/2
B:
C:
D:2
对于“CMMI-需求管理”的关键活动,以下选项描述正确的是()。
A:与需求提供者一起了解需求并接受需求
B:取得项目组成员对需求的承诺
C:当需要在项目中渐进变化时,管理需求变更
D:维护需求与项目工件间的单向追溯性
像面强度分布
理想流体元流伯努利方程表示无粘性流体恒定流动,沿元流单位重量流体的()。
A:势能守恒
B:动能守恒
C:压能守恒
D:机械能守恒
在图示电路中,开关K闭合后,导线环S()。
A:向远离N方向摆动
B:向N方向摆动
C:不动
D:无法判断
反应N2+3H2→2NH3的平均反应速率可表示为,也可表示为()。
A:
B:
C:
用反馈复位法来改变由8位二进制加法计数器的模值,可以实现()模值范围的计数器。
A:1-~15
B:1~16
C:1~32
D:1~256
多股软铜引线与扁铜线焊接时,应先将多股软引线端头用细铜线绑扎并打扁,在导线上搭接的长度应为导线宽度的()倍。
A:5;
B:3;
C:0.5;
D:1.5~2.5。
下列TTL非门输入端的接法为低电平的是()。
A:接地
B:接低于0.8V的电压
C:接另一个TTL电路的输出
D:悬空
如下选项中
不正确
的描述是()。
A:
B:
C:
D:
全国国营工业企业构成一个()总体
A:有限
B:无限
C:一般
D:一致
以下属于分布式电容分压器测量误差的是()。
A:幅值误差
B:频率误差
C:波形误差
D:时延误差
555构成的多谐振荡器电路中、当R1=R2时,欲使输出占空比约为50%,最简单的办法是()。
A:电容C减半
B:R2两端并接二极管
C:C—U端接地
D:VCC减半
BCD码是用于表示十进制数的二进制代码,常见的BCD码有()。
A:字符编码
B:5421BCD码
C:8421BCD码
D:余3BCD码
下列信号属于模拟量信号的有()。
A:温度
B:压力
C:流量
D:速度
一束光垂直入射到偏振片P上,以入射光线为轴转动P,观察通过P的光强的变化情况。以下结论全部正确的是()。
A:若光强明暗交替变化且有时出现全暗,则入射光可能是椭圆偏振光或线偏振光
B:若光强明暗交替变化但不出现全暗,则入射光可能是圆偏振光或部分偏振光
C:若光强不变,则入射光一定是自然光
D:若光强不变,则不能准确判断入射光的偏振性质
物空间一个物点对应像空间中唯一的像点,这种一一对应关系称为(),这两个对应点称为()
地下水渐变渗流,过流断面上各点的渗透速度按()。
A:线性分布
B:抛物线分布
C:均匀分布
D:对数曲线分布
变压器油气相色谱分析的优越性是什么?
变压器轻瓦斯保护动作于_________,重瓦斯保护动作于_________。
能完成两个l位二进制数相加并考虑到低位来的进位的器件称为()。
A:编码器
B:译码器
C:全加器
D:半加器
油浸式变压器的介质损失角随介质温度的上升而()。
A:增大
B:不便
C:减小
D:无关
直线L1:2x=5y=z-1与平面∏:4x-2z=5的位置关系是().
A:直线L与平面∏平行
B:直线L与平面∏垂直
C:直线L在平面∏上
D:直线L与平面∏相交,但不垂直
下面关于流体黏性的说法中,正确的是()。
A:流体的黏性随温度的升高而减小
B:流体的黏性随温度的升高而增大
C:液体的黏性随温度的升高而增大,而气体的黏性随温度的升高而减小
D:液体的黏性随温度的升高而减小,而气体的黏性随温度的升高而增大
关于双臂电桥测量电阻的结果误差下列叙述错误的是()。
A:与双臂电桥的准确度等级有关。
B:和连接线的电阻有关。
C:和接触电阻有关。
D:误差与温度无关。
单级双吸离心泵的吸入室多采用()。
A:锥形管吸入室
B:圆环形吸入室
C:半螺旋形吸入室
D:锥形管或半螺旋形吸入室
首页
<上一页
76
77
78
79
80
下一页>
尾页