自考题库
首页
所有科目
自考历年真题
考试分类
关于本站
游客
账号设置
退出登录
注册
登录
出自:综合计量工
量水尺在油水问停留5s与停留20s,量水膏所引起的示值变化不应超过0.5mm。
氧气的分子式是().
A:O
B:O
2
C:O
3
具有过盈的配合称为(),被常用于精确的定位配合中,或传递和承受大的扭矩和动载荷的部位.
A:间隙配合
B:过渡配合
C:过盈配合
D:过度
有阻值分别为2kΩ、3kΩ、4kΩ的三个电阻,利用这些电阻可以获得5.2kΩ电阻的连接方法是()
A:三个电阻串联
B:三个电阻并联
C:不能得到
D:2kΩ电阻与3kΩ电阻并联后再和4kΩ电阻串联
油罐抽瘪事故原因不应该是().
A:呼吸阀冻凝或者锈死
B:罐内油品凝固
C:安全阀冻凝或者锈死
D:防火器堵死
HSE管理体系的主要作用是什么?
启动电机时,运行人员应按电流表监视启动过程,如电流(),应立即停机。
A:未超过额定值
B:过小
C:无指示或不返回正常值
D:正常
计量加油机的检定周期为()年。
A:0.5
B:1
C:2
D:1.5
影响流量计系数的因素有哪些
由于原油或油料中含有水分,在用蒸馏法测定油品含水时,蒸馏中开始升温应(),接近结束时加热应()。
A:慢,快
B:慢,慢
C:快,快
D:快,慢
在Word文档中,按()键,可将插入点移到文档的开头。
A:Home
B:Alt+Home
C:Shift+Home
D:Ctrl+Home
一般()mm以上通径的流量计几乎都是双壳体碳钢结构。
A:150
B:200
C:250
D:300
负荷相同的炉子,炉管平均表面热流密度越高,所需的炉管越多.
《原油水含量测定蒸馏法》(GB/T8929-2006)要求,()前接受器和整套仪器进行标定。
在三相四线中,中线有何作用?如无中线将会产生什么后果?
我国使用哪些计量检定印证?
当输送量低于流量的最小允许流量时,流量计应照常使用,否则无法知道确切的流量
原油质量流量计量误差除考虑体积流量计量误差外,还需要考虑()测量误差.
A:温度
B:压力
C:密度
D:水分
分液漏斗用于互不相溶的两种液体的分层和分离。
采用()油罐基本上能消除“大小呼吸损耗”。
A:球顶
B:浮顶
C:拱顶
D:锥顶
()是输油管道的心脏.
A:输油泵
B:加热炉
C:储油罐
D:仪表
流量计的重复性是指在规定工作条件内,流量计的某些性能随时间保持不变的能力
QC小组的组长不可以民主推选
中心投影法所绘制的图像又称为()
A:主视图
B:侧视图
C:俯视图
D:透视图
如果涡轮流量计的测量流量太小,造成信号太弱,则应采取().
A:参照显示仪表说明书排除
B:清洗变送器,并装过滤器
C:更换轴或轴承
D:按正常使用范围使用
成年男性的平均摆脱电流为()mA
A:0.7
B:1.1
C:6
D:9
用蒸馏法测原油或油品含水时,无釉瓷片、浮石或毛细管的作用是()。
A:加速原油或油品蒸馏脱水
B:防止加热时发生突沸
C:使原油或油品脱水更干净
D:使加热更均匀
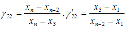
狄克逊准则:设所得的重复观测值按由小到大的规律排列为:x
1
,x
2
,...,x
n
其中的最大值为x
n
,最小值为x
1
。按以下()情况计算统计量
或
。
A:在n=3~7情况下:
B:在n=8~10情况下:
C:在n=11~13情况下:
D:n≥l4情况下:
标准体积管进行耐压试验采用的介质是().
A:空气
B:水
C:石油
D:石化产品
在测定油品密度时经常是在非20℃条件下测出油品的视密度ρt。
首页
<上一页
76
77
78
79
80
下一页>
尾页