自考题库
首页
所有科目
自考历年真题
考试分类
关于本站
游客
账号设置
退出登录
注册
登录
出自:基础考试
对岩石抗压强度影响的因素有()。
A:试件形态的
B:试件的高径比
C:试件的端部约束
D:试件尺寸。
采有盘左盘右观测水平角时,不能抵消的误差是()。
A:视准轴不垂直水准管轴
B:横轴不垂直纵轴
C:度盘偏心差
D:水准管轴不垂直纵轴
刚度为EA的等直杆,承受轴向载荷,位于杆内K点的轴向位移δ
k
为:()
A:A
B:B
C:C
D:D
球面x
2
+y
2
+z
2
=25被平面z=3所分成的上半部分曲面的面积S=()
A:4π
B:5π
C:10π
D:20π
下列各物质的化学键中,只存在a键的是:()
A:PH
3
B:H
2
C=CH
2
C:CO
2
D:C
2
H
2
如图所示,直杆受扭转力偶作用,在截面1—1和2—2处的扭矩为:()
A:5kN·m,5kN·m
B:25kN·m,-5kN·m
C:35kN·m,-5kN·m
D:-25kN·m,25kN·m
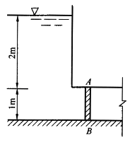
AB为一水下矩形闸门,高h=1m,宽b=1m,水深如图所示,闸门上的总压力为()。
A:29.4kN
B:24.5kN
C:19.6kN
D:14.7kN
检验经纬仪水准管轴是否垂直于竖轴,当气泡居中后,平转180°时,气泡已偏离。此时用校正针拨动水准管校正螺丝,使气泡退回偏离值的多少即可?()
A:1/2
B:1/4
C:全部
D:2倍
图示楔形块K以加速度
沿水平面向右运动,从而带动推杆AB在铅直槽内运动。为求AB杆的加速度,选AB杆上的A点为动点,动坐标固结在楔形块K上,静坐标固结在地面上,根据牵连运动为平动时的加速度合成定理,下列答案中哪个是正确的?()
A:A
B:B
C:C
D:D
莫尔-库仑破坏准则中,剪破面与大主应力之间的夹角为()
A:45o+∮/2
B:45o+∮/2
C:45o+∮
D:45o-∮
闭合导线和附合导线在计算下列中哪些差值时,计算公式有所不同?()
A:角度闭合差、坐标增量闭合差
B:方位角、坐标增量
C:角度闭合差、导线全长闭合差
D:纵坐标增量闭合差、横坐标增量闭合差
图示悬臂梁自由端承受集中力偶M。若梁的长度减小一半,梁的最大挠度是原来的:()
A:1/2
B:1/4
C:1/8
D:1/16
在铜锌原电池中,将铜电极的c(H)由1mol/L增加到2mol/L,则铜电极的电极电势:()
A:变大
B:变小
C:无变化
D:无法确定
岩石抗剪试验方法有()
A:快剪试验
B:直剪试验
C:双轴试验
D:三轴试验
某产品单位变动成本10元,计划销售1000件,每件15元,问固定成本应控制在()之内才能保本。
A:5000元
B:10000元
C:15000元
D:150元
不定积分
()
A:A
B:B
C:C
D:D
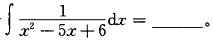
两木杆(Ⅰ和Ⅱ)连接接头,如图所示。承受轴向拉力作用()
A:1-1截面偏心受拉
B:2-2为受剪面
C:3-3为挤压面
D:4-4为挤压面
某土的天然含水量为ω=38%,塑限含水量为ω
p
=16%,液限含水量为ω
L
=44%。判别并计算此土的类别和液性指数I
L
为()。
A:黏性土、I
L
=0.786
B:黏土、I
L
=0.786
C:黏性土、I
L
=0.214
D:黏土、I
L
=0.214
两根完全相同的细长(大柔度)压杆AB和CD如图所示,杆的下端为固定铰链约束,上端与刚性水平杆固结。两杆的弯曲刚度均为EI,其临界载荷F
a
为:()
A:A
B:B
C:C
D:D
下列离子中具有18+2电子构型的是:()
A:Fe
2+
B:Zn
2+
C:Pb
2+
D:Ca
2+
对于图示悬臂梁中,A点的应力状态有下列四种答案:()
A:A
B:B
C:C
D:D
土工膜现场焊缝检漏常用方法是()。
A:剪切法
B:充气法
C:剥离法
D:真空法
直角刚杆OAB在图示瞬时角速度ω=2rad/s,角加速度ε=5rad/s
2
,若OA=40cm,AB=30cm,则B点的速度大小、法向加速度的大小和切向加速度的大小为()。
A:100cm/s;200cm/s
2
;250cm/s
2
B:80cm/s;160cm/s
2
;200cm/s
2
C:60cm/s;120cm/s
2
;150cm/s
2
D:100cm/s;200cm/s
2
;200cm/s
2
断电会使所存信息丢失的存储器是()。
A:RAM
B:硬盘
C:ROM
D:DVD盘
图示桁架结构杆①的轴力为:()
A:3P/4
B:P/2
C:0.707P
D:1.414P
完全潜水井半径r
0
=0.5m,含水层厚度H=11m,土的渗透系数为2m/h,抽水稳定后井中水深h
0
=8m则井的出水量为()。
A:0.084m
3
/s
B:0.017m
3
/s
C:0.17m
3
/s
D:0.84m
3
/s
重力W的物块置于倾角为α=30°的斜面上,如图所示。若物块与斜面间的静摩擦系数f
s
=0.6,则该物块:()
A:向下滑动
B:处于临界下滑状态
C:静止
D:加速下滑
图示结构的两杆面积和材料相同,在铅直力F作用下,拉伸正应力最先达到许用应力的杆是:()
A:杆1
B:杆2
C:同时达到
D:不能确定
考虑抗震设防时,多层砌体房屋在墙中设置圈梁的目的是:()
A:提高墙体的抗剪承载能力
B:增加房屋楼(屋)盖的水平刚度
C:减少墙体的允许高厚比
D:提高砌体的抗压强度
等截面传动轴,轴上安装a、b、c三个齿轮,其上的外力偶矩的大小和转向一定,如图示。但齿轮的位置可以调换。从受力的观点来看,齿轮a的位置应放置在下列中何处?()
A:任意处
B:轴的最左端
C:轴的最右端
D:齿轮b与f之间
首页
<上一页
75
76
77
78
79
下一页>
尾页