出自:初级中学教师资格证

根据控制、成熟的要求、儿童与父母的交往、父母的教养水平等四个指标,将父母的教养行为分为( )
A:专制型
B:民主型
C:说服型
D:放纵型
经济学家卡尔·波拉尼认为:“20世纪前半期造成社会危机的根源在于市场自由化与全球化的构想。这种构想通过一条能有效分割经济活动与社会关系的无情的市场逻辑,使商业利益逐渐控制了社会。自由市场原则摧毁了彼此负责的社会关系„„最终使市场变成了强权国家的附属物。”对此理解正确的是()
A:自由市场原则是阻碍社会发展的根源
B:经济全球化削弱了民族主义意识
C:经济全球化破坏了人类的公共价值观
D:市场自由化是经济全球化的结果
恩格斯在论及某场战争时说:“不管这次战争的直接后果如何,有一点是必不可免的:古老中国整个传统的经济体系将完全崩溃。„„在陆地和海上打了败仗的中国人将被迫欧化,全部开放它的港口通商,建筑铁路和工厂。”恩格斯所说的“这次战争”的历史影响在于()
A:使中国开始走上了学习西方的道路
B:开启了中国近代化的艰难历程
C:为中国思考制度变革提供了历史契机
D:中国由局部学习西方转向全盘西化
压力无时无刻不在身边,其反应的表现为()
A:生理反应
B:行为反应
C:情绪反应
D:心理反应
E:动机反应
教师主导作用与学生能动性结合规律的基本观点是什么?
简述强迫症的含义、表现及矫正方法。
"欲速则不达"的哲学寓意是()
A:发挥主观能动性,必须以尊重客观规律为基础
B:要提高办事效率,必须充分发挥主观能动性
C:物质决定意识,一切从实际出发
D:要取得事业成功,必须按常规办事
大破“洋枪队”取得青埔大捷的太平军将领是()
A:石达开
B:陈玉成
C:李秀成
D:冯云山
某教师设置了“阅读与鉴赏”的专题,旨在帮助学生提高阅读鉴赏文学作品的能力,按照《普通高中语文课程标准(实验)》中提出的发展独立阅读的能力的具体目标,下列要求不恰当的是()。
A:善于发现问题、提出问题,对文本能作出自己的分析判断
B:从整体上把握文本内容,理清思路,概括要点,理解文本所表达的思想、观点和感情
C:在阅读与鉴赏活动中,不断充实精神生活,完善自我人格,提升人生境界
D:根据语境揣摩语句含义,运用所学的语文知识,帮助理解结构复杂、含义丰富的语句,体会精彩语句的表现力
初中生既可以表现出惊人的豪壮行为,也能因为狂热愤怒而做出一些追悔莫及的事,这是初中生()。
A:情绪变化的两极性
B:情绪活动的丰富性
C:情绪活动的心境化
D:情绪体验的冲动性
教育是劳动力再生产的重要手段,是科学知识再生产的重要手段。
从下列哪种植物开始,植物体具有根、茎、叶的分化?()
A:藻类
B:苔藓
C:蕨类
D:裸子

背景材料:
检验NaHCO3和Na2CO3的热稳定性,通常的做法是分别将其加热,并将其所产生的气体通往澄清的石灰水中,观察石灰水是否变浑浊,下面是某老师对NaHCO3和Na2CO3的热稳定性实验的创新设计:
如图2所示,在一小试管内盛装NaHCO3固体,并将导管插入澄清石灰水A中,在具支试管中盛装Na2CO3固体,并将支管导管插入澄清石灰水B中,然后加热,结果发现,A中溶液变浑浊,而B中溶液无变化。



第1题,共1个问题
(简答题)问题: (1)上述改进后的实验有哪些优点? (2)在平时改进化学实验时,我们应注意哪些方面?
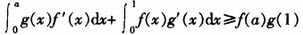
设f(x),g(x)在[0,1]上的导数连续,且f(0)=0,f′(x)≥0,g′(x)≥0。证明:对任何a∈[O,1],有
在教育法制建设史具有里程碑意义,标志我国全面进入依法治教轨道的是颁布与实施( )。
A:《中华人民共和国义务教育法》
B:《中华人民共和国教师法》
C:《中华人民共和国教育法》
D:新《中华人民共和国义务教育法》
随着啤酒生产和销售旺季的来临,一些啤酒生产企业相继抛出啤酒中含甲醛有害健康的论调,并宣称自己已经取消使用甲醛,改用其他物质代替,此举在业内引起一番激烈的争论。有的企业更是借用中国酿酒工业协会啤酒分会的旗号抛出“甲醛有害论”。针对这种情况,中国酿酒工业协会啤酒分会发表声明,指出微量甲醛广泛存在于天然食品中,啤酒所含甲醛和天然食品相比,含量属低量范畴。甲醛作为食品工业加工允许使用的助剂,在啤酒产品中的含量都在较低范围,对身体健康无害。 这段文字意在表明()。
A:天然食品中广泛含有微量甲醛
B:啤酒生产无禁用甲醛规定
C:啤酒微含甲醛对人体无害
D:啤酒生产企业哗众取宠
下列选项中,不属于教学大纲结构的是()
A:说明部分
B:其他
C:教学计划
D:本文部分
教学评价的依据是教学目标。
社会生产力的发展水平是教育发展的物质基础。
地方课程将国家课程和校本课程有机地联系起来。
讲授法是最普遍、历史最悠久的教学方法,它有利于教师主导、主体的实践,但明显不足在于()
A:不利于教师面向全体学生
B:不利于在短时间内获得大量系统的知识
C:不利于教师有目的有计划的进行教学
D:不利于学生主动自觉的学习
课程的文本一般表现为()。
A:课程计划、课程标准、教材
B:课程计划、课程目标、课程实施
C:课程目标、课程实施、课程评价
D:课程主题、课程任务、课程标准
关于名著的表述,不正确的一项是()
A:楚国狂人接舆遇见孔子,并不理会他,自顾自地边走边唱歌,且在子路面前批评孔子“四体不勤,五谷不分”(《论语》)
B:觉慧没有参加高老太爷的大殓仪式,因为道士说他的生肖与大殓的时辰有冲突。他虽然没有反对,但心里不相信这些(《家》)
C:许攸向袁绍献计攻许昌,袁绍不听,致使许攸投奔曹操。曹操用许攸之计,烧毁袁绍积于鸟巢的军粮辎重,大败袁绍(《三国演义》)
D:伏盖太太的公寓住着七位客人:库蒂尔太太和少女泰伊番,老头波阿雷和中年男子伏拖冷,老处女米旭诺,高老头和年轻人拉斯蒂涅(《高老头》)
古人云:“日之所照日阳。”下列各项中,两者均属于“阳”的方位是()。
A:山之南、水之北
B:山之南、水之南
C:山之北、水之北
D:山之北、水之南
“头痛医头,脚痛医脚”这句话()
A:包含了矛盾特殊性原理
B:体现了具体问题具体分析原则
C:揭示了形而上学的片面性
D:反映了事物联系的具体性
运动处方中决定运动量最主要的因素是()。
A:运动时间
B:运动强度
C:运动频度
D:运动类型
什么是信息的载体依附性?举例说明。
在一节初二男生的篮球课上,姚老师为了提高学生的练习兴趣,特组织了教学比赛。在比赛中高大强壮的小林,把矮小瘦弱的小宇撞倒在地。倒地后的小宇感到右脚十分疼痛,无法行走。

第1题,共1个问题
(简答题)(1)在课堂上发生这样的事情你认为是否属于课堂管理不合理造成的?该如何解决?(2)如何防止类似事件的发生?
某教师在进行《用途广泛的金属材料》这节课讲解之前,留下校外作业,让学生在生活中寻找应用金属材料的地方,进行总结,在课堂教学时,先由学生列举金属材料应用的实例,通过校外活动,引起学生对本节课学习的兴趣。在校外活动中,教师应处于()。
A:领导地位
B:启发指导地位
C:顾问地位
D:主导地位
2013年,新疆的经济社会继续展现喜人变化:经济保持两位数增长,增速22年来首次进入全国前十;民生建设全面推进,100项重点民生工程进展顺利,就业、教育、医疗、住房、社会保障等各项事业不断完善。这充分体现了()①民族团结是社会进步的保证②我国坚持贯彻落实科学发展观③我国坚持各民族共同繁荣原则④我国民族间发展不平衡状况已消除
A:①②
B:①④
C:②③
D:③④