自考题库
首页
所有科目
自考历年真题
考试分类
关于本站
游客
账号设置
退出登录
注册
登录
出自:电气工程公共基础
无论大项目还是小项目,各种变更总是无法避免。作为项目经理,你很清楚整体变更的重要性,并且知道变更请求按以下形式发生,包括()。
A:非正式的
B:内部提出的
C:间接的
D:法律强制的
在游泳池边向水池底看去,感觉池水并不深,下水后才知道不是那么回事,试分析,为什么池水深度看起来比实际的浅?
异步计数器设计时,比同步计数器设计多增加的设计步骤是()。
A:画原始状态转换图
B:进行状态编码
C:求时钟方程
D:求驱动方程
对于电压等级为110-330kV的变压器,直流电阻测量时,相电阻的不平衡率应不大于()。
A:0.5%
B:1.0%
C:1.5%
D:2.0%
大街上,噪声电子显示屏上显示噪声声强级为70dB,声强标准I0=10-12W/m
2
,则实际的噪声强度是()。
A:1058W/m
2
B:10-5W/m
2
C:10-9W/m
2
D:10-19W/m
2
某项目总投资为6000万元,其中自有资金为3000万元,借款年利率为9%,若项目的全投资财务内部收益率为12%,则该项目自有资金财务内部收益率将()。
A:大于9%
B:等于9%
C:大于12%
D:等于12%
放在弹簧平台上的物块A,重力为W,作上下往复运动,当经过图4-55所示位置1、0、2时(0为静平衡位置),平台对A的约束力分别为p1、p2、p3,它们之间大小的关系为()。
A:p1=p2=W=p3
B:p1>p2=W>p3
C:p12=W3
D:p13=W>P2
用于直接接触电击防护时,应选用( )的剩余电流保护器。
A:高灵敏度
B:快速动作型
C:移动式
D:平衡式
下列各系列中,按电离能增加的顺序排列的是()。
A:Li、Na、K
B:B、Be、Li
C:O、F、Ne
D:C、P、As
变压器大修后应进行的电气试验有哪些?
最常用的BCD码是()。
A:5421码
B:8421码
C:余3码
D:循环码
图示平面机构,曲柄OA长R,以角速度ω绕O轴转动,并通过杆端滑块A带动摆杆O1B绕O1轴转动。已知OA=OO1,图示位置=300,则此时杆O1B的角速度为()。
A:ω/4,逆时针向
B:/2ω,逆时针向
C:ω,逆时针向
D:2ω,逆时针向
边沿触发器具有共同的动作特点,即触发器的次态仅取决于CP()时的输入逻辑状态。
A:高电平
B:上升沿
C:下降沿
D:低电平
变压器三相直流电阻不平衡(不平衡的系数大于2%)的原因是什么?怎样检查?
基准收益率与财务净现值的关系是()。
A:基准收益率变大,财务净现值变小
B:基准收益率变大,财务净现值变大
C:财务净现值的变化与基准收益率无关
D:当基准收益率大于财务内部收益率时,财务净现值大于零
分立元件门电路由()等元件组成。
A:电阻
B:电容
C:二极管
D:三极管
皮托管可以用作测量流体的()。
A:点流速
B:断面平均流速
C:压强
D:流量
光刻
电阻值不随电压,电流的变化而变化的电阻称为( )
A:等效电阻
B:线性电阻
C:非线性电阻
变压器铁心的材料中,热轧硅钢片优于冷轧硅钢片,优于非晶合金材料.( )
设L为抛物线y=x2上从0(0,0)到P(1,1)的一段弧,则曲线积分的值是().
A:1
B:0
C:1/2
D:-1
电力变压器的高压绕组选用纠结和插屏法绕制是为了降低绕组的涡流损耗从而降低变压器的负载损耗。
设3阶方阵A有特征值2,且已知|A|=5,则A的伴随矩阵必有特征值().
A:25
B:12.5
C:5
D:2.5
如图所示,弹簧一端固定于A点,A是半径为R的铅直大圆环的最高点,弹簧另一端连接一质量为m的小圆环M,M可沿固定大圆环滑动。M初位置在M0点,而AM0=R=弹簧原长。当M从M0不受摩擦、无初速度地滑至大环最低点B,此时欲使M对大环的压力等于零,则该弹簧的弹簧常数K应为()。
A:
B:
C:
D:
明天你需要与一个潜在的分包商进行谈判,但是你意识到该项目很可能会被取消,你应该()。
A:不要花太多时间准备谈判
B:将谈判时间缩短
C:只谈论重要事宜
D:推迟谈判
重瓦斯动作速度的整定是以()的流速为准。
A:导油管中;
B:继电器处;
C:油枕内油上升;
D:油箱上层。
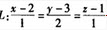
直线
与平面∏:2x+y-4z=6的位置关系是().
A:L垂直于∏
B:L与∏相交,但不垂直
C:L与∏平行,且L不在∏上
D:L在∏上
下列选项中,( )不允许用作接地线或保护线。
A:水煤气管
B:薄壁钢管或外皮
C:保温管的金属网
D:蛇皮管
平衡热辐射
圆双折射
首页
<上一页
74
75
76
77
78
下一页>
尾页