自考题库
首页
所有科目
自考历年真题
考试分类
关于本站
游客
账号设置
退出登录
注册
登录
出自:基础考试
导线坐标增量闭合差调整的方法是求出闭合差的改正数,以改正有关坐标的增量。闭合差改正数是将闭合差按与导线长度成下列中哪种关系求得的?()
A:正比例并同号
B:反比例并反号
C:正比例并反号
D:反比例并同号
图中取A支座反力为力法的基本未知量X
1
,当I
1
增大时,柔度系数δ
11
的变化状况是:()
A:变大
B:变小
C:不变
D:不能确定
在图5-9-16所示梁的A点测得梁在弹性范围内的纵横方向的线应变ε
x
、ε
y
后,所能算出的材料常数有:()
A:只有E
B:只有v
C:只有G
D:E、v和G均可算出
下面
不属于
工程建设其他投资的是:()
A:土地使用费
B:与项目建设有关的其他费用
C:预备费
D:联合试运转费
岩石含水率试验的烘干标准,根据目前国内外有关规程有时问控制和称量控制两种。
振冲置换法的主要作用机理是挤密,而振冲密实法的主要作用机理是填料置换。
薄壁截面如下选项,若剪力V铅直向下,剪应力流有四种画法:()
A:A
B:B
C:C
D:D
点荷载强度>抗压强度>抗拉强度。
岩石断裂韧度测试时,试件形状可以是()。
A:短棒试件
B:立方体试件
C:直切口圆柱梁试件
D:“V”形切口圆柱梁试件
对于一个确定的化学反应来说,下列说法中正确的是()。
A:
越负,反应速率越快
B:
越负,反应速率越快
C:活化能越大,反应速率越快
D:活化能越小,反应速率越快
图示一定量的理想气体,由初态a经历acb过程到达终态b,已知a、b两态处于同一条绝热线上,则下列叙述中,哪一条是正确的?()
A:内能增量为正,对外做功为正,系统吸热为正
B:内能增量为负,对外做功为正,系统吸热为正
C:内能增量为负,对外做功为正,系统吸热为负
D:不能判断
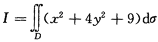
设D={(x,y){x
2
+y
2
≤4),二重积分
,则()
A:I≤-36π
B:-36π≤I<36π
C:36π≤I≤100π
D:I>100π
图示力P的大小为2kN,则它对点A之矩的大小为:()
A:A
B:B
C:C
D:D
黏性土的颗粒分析试验通常使用筛分法。
土工膜复合土工织物,是为了()。
A:保护其不受破坏;
B:排走通过膜片的渗水;
C:增加延伸率;
D:提高与土之间的摩擦系数。
岩体变形试验中刚性承压板面积一般为()。
A:0.1
B:0.2~0.25
C:0.5
D:1.0
在进行岩石抗拉试验时,坚硬岩石应选用直径1mm的钢丝垫条。
已知通过一导体环的磁通量在0.04秒内由8×10
-3
韦伯均匀地减小到2×10
-3
韦伯。若环的平面法线与磁场方向一致,则环中产生的感应电动势为()V。
A:0
B:0.05
C:0.15
D:0.2
图示结构中,杆CD的轴力NCD是:()
A:拉力
B:零
C:压力
D:不定,取决于P
理想流体的基本特征是:()
A:粘性系数是常数
B:不可压缩
C:无粘性
D:符合牛顿内摩擦定律
计算桩基础沉降时,最终沉降量宜采用的方法是:()
A:单向压缩分层总和法
B:单向压缩弹性力学法
C:三向压缩分层总和法
D:三向压缩弹性力学法
图示等直径水管,AA为过流断面,BB为水平面,1、2、3、4各点的运动参数有以下关系()。
A:A
B:B
C:C
D:D
如图所示等径有压圆管断面1的压强水头p
1
/γ=20mH
2
O,两断面中心点高差H=1m,断面1-2的水头损失
,则断面2的压强水头P
2
/γ为:()
A:18mH
2
O
B:24mH
2
O
C:20mH
2
O
D:23mH
2
O
已知y
1
=78.629m,边长D
12
=67.286m,坐标方位角α
12
=300°25′30″,则y
2
等于()。
A:20.609
B:112.703
C:-58.020
D:34.074
钢筋混凝土结构抗震设计时,要求"强柱弱梁"是为了防止:()
A:梁支座处发生剪切破坏,从而造成结构倒塌
B:柱较早进入受弯屈服,从而造成结构倒塌
C:柱出现失稳破坏,从而造成结构倒塌
D:柱出现剪切破坏,从而造成结构倒塌
承压板法测定岩体变形时的主要加压方式有()。
A:分级加压法
B:连续加压法
C:逐级一次循环加压法
D:逐级多次循环加压法
E:大循环加压法
明渠流动为缓流时()。
A:F
r
<l
B:h<h
c
C:v>v
c
D:
等截面杆,轴向受力如图所示。杆的最大轴力是()。
A:8kN
B:5kN
C:3kN
D:13kN
质量为m的均质圆环,在其内缘上固结一质量为m的质点A,细圆环在水平面上作纯滚动,在图示瞬时其角速度为w,则系统动能为()
A:A
B:B
C:C
D:D
梁上无集中力偶作用,剪力图如图5-6-6所示,则梁上的最大弯矩为()
A:2qa
2
B:-7qa
2
/2
C:4qa
2
D:-3qa
2
首页
<上一页
73
74
75
76
77
下一页>
尾页