自考题库
首页
所有科目
自考历年真题
考试分类
关于本站
游客
账号设置
退出登录
注册
登录
出自:计算机科学
空串和空格串有何区别?串中的空格符有何意义?空串在串处理中有何作用?
总线型拓扑结构的优点有()
A:易于维护
B:可靠性高
C:可扩充性强
D:费用开支少
()只是一个信号的放大和中转设备,不具备自动寻址和交换作用。
A:交换机
B:集线器
C:路由器
D:调制解调器
()是信息的表现形式,有()和()两种形式。
创建的点集(Point Set)中的点都是相关的。
在接口设计中,常常要考虑对错误的检测问题。当前多数可编程接口芯片能检测到两类错误,一类是(),另一类是()。
程序中使用CLI,STI指令的作用是什么?
在SQL中,通配符%表示(),下划线表示()。
8086CPU有哪几种工作模式?
XML提供了数据定义机制,目前只存在一种方式:DTD。
在VisualBasic中,称对象的数据为()。
A:事件
B:封装
C:属性
D:方法
数据库及数据库管理系统为信息系统的实现提供了基础。
在部件导航器中选择多个特征,依附关系(Dependencies)面板将不显示特征的依附性。
下面对于padding写法说法正确的是()。
A:padding:5px 4px 3px
B:padding-top:3px
C:padding:5px 4px
D:padding-bottom:-10px;
选择运算σF(R)是()
A:是从关系R中选取使逻辑表达式F为真的元组
B:是从R中选择出若干属性列组成新的关系
C:是从两个关系的笛卡儿积中选取属性间满足一定条件的元组
D:笛卡尔积
“绿色软件”的最主要特点是:大都不安装,不需要向系统里写入()。
操作查询是只需进行一次操作就可以对许多记录进行更改或移动的一种查询。它有四种类型,分别是追加查询、更新查询、()、删除查询。
数组a经初始化char a[ ]=“English”;a[1]中存放的是()。
A:字符n
B:字符E
C:“n”
D:“E”
中国下一代互联示范工程缩写为()。
A:CNGI
B:CNCC
C:CERNET2
D:CERNET
Htmlinputradiobutton控件的()属性指示该控件是否被选中。
A:id
B:name
C:checked
D:value
()的计算机峰值性能为可达到数千亿次/秒及以上,主要用于大型科学与工程计算和大规模数据处理。
A:专用计算机
B:巨型计算机
C:微型计算机
D:小型计算机
CorelDRAW默认情况下提供多少步的撤销?()
A:10
B:20
C:1
D:无数步
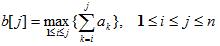
给定由n个整数(其中可能有负数)组成的序列a
1
,a
2
,...a
n
,求该序列形如
的子段和的最大值。当所有整数均为负整数时定义其最大子段和为0。依此定义,所求的最优值为:
动态规划解决方案:记
,则对于n个整数序列的最大子段和问题,
即为所求。 动态规划递归式:
问:对于实例:(a
1
,a
2
,...a
6
)=(-2,11,-4,13,-5,-2)按照前述动态规划递归式填充b数组,算法运行完毕后,请写出b数组中的数值,和最大子段和的值。
原画()设计直接关系到未来影片的质量,动画电影的独立性正是建立在这一环节,造型符号在此获得生命力和性格。
A:变形
B:物理力学
C:动作
D:表情
流水CPU中的主要问题是()相关、()相关和()相关,为此需要采用相应的技术对策,才能保证流水畅通而不断流。
关键帧动画
通信设备安装工程中内部影响因素有哪些?
2+1并机系统的UPS(无冗余),系统带载能力最大可以是单台的倍数,下列倍数错误的是()
A:3
B:2.4
C:1.6
D:1
语句ADDR DB 6H DUP(1,2(DUP(1,2))中有数据‘0101H’的字存储单元有()个。
A:3
B:4
C:5
D:6
为了确保路由选择的正确无误,路由选择表必须及时更新,并准确地反映互联网中的当前情况。
首页
<上一页
739
740
741
742
743
下一页>
尾页