自考题库
首页
所有科目
自考历年真题
考试分类
关于本站
游客
账号设置
退出登录
注册
登录
出自:基础考试
受扭实心等直圆轴,当直径增大一倍时,其最大剪应力τ
1max
和两端相对扭转角
2
与原来的τ
2max
和
1
的比值为:()
A:A
B:B
C:C
D:D
图示二梁除载荷外其余条件相同。最大挠度比W
B2
/W
B1
为:()
A:2
B:4
C:8
D:16/5
岩石吸水性指标主要有()
A:自然吸水率
B:饱和吸水率
C:渗透系数
D:软化系数
逻辑函数F=
的化简结果是()。
A:F=AB+BC
B:F=
C:F=A+B+C
D:F=ABC
图示结构,截面A、B间的相对转角为:()
A:A
B:B
C:C
D:D
盈亏平衡分析是一种特殊形式的临界点分析,它适用于财务评价,其计算应按项目投产后以下哪项计算?()
A:正常年份的销售收入和成本费用数据利润总额
B:计算期内的平均值
C:年产量
D:单位产品销售价格
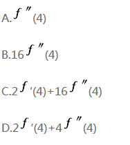
设函数f(x)具有二阶导数,y=f(x
2
),则
的值是( )。
A:A
B:B
C:C
D:D
有一基坑的地下土质为粘性土,基坑渗透系数小于0.1m/d,降水深度小于6m,此基础宜采用的降水方法为()
A:真空井点
B:明井坑
C:电渗井点
D:大口井
两瓶理想气体A和B,A为1mol氧,B为1mol甲烷(CH
4
),它们的内能相同。那么它们分子的平均平动动能之比
为:()
A:1/1
B:2/3
C:4/5
D:6/5
五大品种水泥中,抗冻性好的是()。
A:硅酸盐水泥
B:粉煤灰水泥
C:矿渣水泥
D:普通硅酸盐水泥
用位移法计算图示刚架时,位移法方程的主系数k
11
等于:()
A:A
B:B
C:C
D:D
土工织物的平面渗透系数是指水流流经织物平面方向时的透水性指标,其试验原理不遵守达西定律。
升高温度,反应速率常数最大的主要原因是:()
A:活化分子百分数增加
B:混乱度增加
C:活化能增加
D:压力增大
两种土工织物的垂直渗透系数相同,但它们的厚度不同,则()。
A:厚度大的材料透水率大
B:厚度小的材料透水率大
C:厚度大的材料透水率小
D:厚度小的材料透水率小
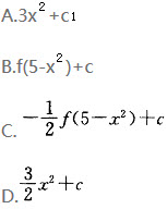
如果∫f(x)dx=3x+c,那么∫xf(5-x
2
)dx等于:()
A:A
B:B
C:C
D:D
级配良好的砂土应满足的条件是(C
u
为不均匀系数,C
c
为曲率系数):()
A:C
u
<5
B:C
u
<10
C:C
u
>5
D:C
u
>10
波长为λ的单色光垂直照射到置于空气中的玻璃劈尖上,玻璃的折射率为n,则第三级暗条纹处的玻璃厚度为:()
A:A
B:B
C:C
D:D
理想气体状态方程在不同过程中可以有不同的微分表达式,式
表示()。
A:等温过程
B:等压过程
C:等体过程
D:绝热过程
静力载荷试验,试验终止的条件有()。
A:承压板周边的土体出现明显侧向挤出
B:本级荷载的沉降量急剧减小,p-s曲线出现陡降段
C:在某级荷载下24h沉降速率不能达到稳定标准
D:总沉降量与承压板直径(或边长)之比超过0.06
压实系数λ
c
为:()
A:最大密度与控制密度之比
B:最大干密度与控制干密度之比
C:控制密度与最大密度之比
D:控制干密度与最大干密度之比
已知乙酸与乙酸乙酯的混合物中氢(H)的质量分数为7%,其中碳为()
A:42.0%
B:44.0%
C:48.6%
D:91.9%
某并联长管如图所示,已知分流点前干管流量Q=100L/s,并联管阻抗分别为S
1
=2092s
2
/m
5
,S
2
8370s
2
/m
5
,则并联管之一的流量Q
1
为:()
A:33.35L/s
B:66.7L/s
C:42.7L/s
D:77.25L/s
折杆受力如图所示,以下结论中错误的为:()
A:点B和D处于纯剪状态
B:点A和C处为二向应力状态,两点处σ
1
>0,σ
1
=0,σ
3
<0
C:按照第三强度理论,点A及C比点B及D危险
D:点A及C的最大主应力σ
1
数值相同
图示连续梁,EI=常数,欲使支承B处梁截面的转角为零,比值a/b应为:()
A:1/2
B:2
C:1/4
D:4
在几个产品相同的备选方案比选中,最低价格法是:()
A:按主要原材料推算成本,其中原材料价格较低的方案为优
B:按净现值为0计算方案的产品价格,其中产品价格较低的方案为优
C:按市场风险最低推算产品价格,其中产品价格较低的方案为优
D:按市场需求推算产品价格,其中产品价格较低的方案为优
三角测量中,高差计算公式h=Dtana+i-ν,式中ν的含义是:()
A:仪器高
B:初算高程
C:觇标高(中丝读数)
D:尺间隔(中丝读数)
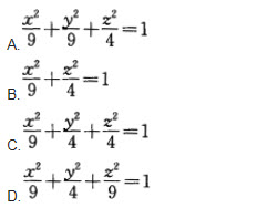
将椭圆
绕x轴旋转一周所生成的旋转曲面的方程是()
A:A
B:B
C:C
D:C
排水带纵向通水量试验中,通水量稳定标准是:直到最后两次差值小于前次通水量的()为止。
A:5%
B:2%
C:10%
D:1%
某元素位于第五周期ⅣB族,则此元素原子的价电子层构型为()。
A:5s
2
5p
2
B:4d
2
5s
2
C:4s
2
4p
2
D:5d
2
6s
2
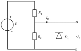
稳压电路如图所示,已知E=20V,R1=1200Ω,R2=1250Ω,稳压管Dz的稳定电压Uz=8V,通过Uz的电流是()mA。
A:-6.4
B:3.6
C:10
D:16.4
首页
<上一页
72
73
74
75
76
下一页>
尾页