自考题库
首页
所有科目
自考历年真题
考试分类
关于本站
游客
账号设置
退出登录
注册
登录
出自:电气工程公共基础
1mol刚性双原子分子理想气体,当温度为T时,其内能为()(式中R为摩尔气体常量,k为玻耳兹曼常量)。
A:
B:
C:
D:
如果触发器的次态仅取决于CP()时输入信号的状态,就可以克服空翻。
A:上升(下降)
B:高电平
C:低电平
D:无法确定
小型汽车的挡风玻璃都是倾斜的,而大型汽车就不需要太倾斜?
在计算机系统中,操作系统是()。
A:应用软件
B:系统支撑软件
C:核心系统软件
D:网络软件
将(714.431)8转换成二进制数,结果是()。
A:111001100.100011001
B:111001100.10001101
C:111001100.100011011
D:111001100.10001111
变压器的主绝缘包括相对地,相间和绕组间的绝缘.( )
在应用多层电介质绝缘时要注意什么问题?
设A是n阶方阵,n≥3.已知|A|=0,则下列命题正确的是().
A:A中某一行元素全为0
B:A的第n行是前n-1行(作为行向量)的线性组合
C:A中有两列对应元素成比例
D:A中某一列是其余n-1列(作为列向量)的线性组合
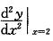
设f(x)具有二阶导数,y=f(x2),则
的值为()。
A:A
B:B
C:C
D:D
已知某电路在脉冲信号作用下,各触发器的状态如表7.5-7所示,经分析知,该电路是()。
A:右移寄存器
B:左移寄存器
C:并行数据寄存器
D:串行数据寄存器
与十六进制数AB等值的十进制数是()。
A:173
B:170
C:171
D:172
ispLSI器件中的GLB是指()。
A:全局布线区
B:通用逻辑块
C:输出布线区
D:输出控制单元
什么是有载分接开关的过渡电路?
构成模值为256的二进制计数器,需要()级触发器。
A:2
B:128
C:8
D:256
十进制数102转换为二进制数是()。
A:1100111
B:1100110
C:1100001
D:1011110
下列有关于流体流动减阻措施的说法中,
不正确
的是()。
A:采用刚性边壁
B:采用柔性边壁
C:减小管壁粗糙度
D:投加极少量添加剂
普通完整井的出水量()。
A:与渗透系数成正比
B:与井的半径成正比
C:与含水层厚度成反比
D:与影响半径成正比
逻辑函数的简化结果是()。
A:F=AB+BC
B:F=A+B+C
C:F=ABC
变压器损耗测试时,2瓦特表法使用2台电压互感器,3瓦特表法的意思是使用3台电压互感器。
下列物质中,
不属于
醇类的物质是()。
A:C4H9OH
B:甘油
C:C6H5CH2OH
D:C6H5OH
GB1094.2-1996中规定,油浸式变压器连续额定容量稳态下的温升限值规定,油与大气直接接触的变压器,其顶层油温升为()。
A:50K
B:55K
C:60K
D:65K
变压器的感应耐压试验分为长时感应耐压试验和短时感应耐压试验.( )
GB1094.10-2003中规定,传声器应位于规定的轮廓线,测量点彼此间距大致相等,且间距不得大于1米,其测点应不少于()。
A:6
B:7
C:8
D:9
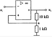
运算放大器应用电路如图所示,设其输出饱和电压为±11V,输入电压为正弦信号,则输出电压uo的波形为()。
A:
B:
C:
D:
不属于
行政机关依法变更或者撤回已经生效的行政许可的理由是()。
A:行政许可所依据的法律、法规、规章修改,为了公共利益的需要的
B:行政许可被许可人不再具备行政许可条件,为了公共利益的需要的
C:行政许可所依据的法律、法规、规章废止,为了公共利益的需要的
D:准予行政许可所依据的客观情况发生重大变化的,为了公共利益的需要
图示构架由三个构件AC、BC、DF组成。A、B分别为铰链支座和辊轴支座,C、E、F均为圆柱铰链。在水平杆的D端作用主动力P,则由三力平衡定理可确定A、C、E、F处约束力的作用线位置。其分析的顺序应为()。
A:整体→AC→CB→DF
B:整体→CB→AC→DF
C:整体→DF→AC→CB
D:整体→CB→DF→AC
正方形截面的混凝土柱,其横截面边长为200mm,基底边长为a=0.8m的正方形混凝土板。柱受轴向压力P=100kN,如图所示。假设地基对混凝土板的支反力为均匀分布,混凝土的许用剪应力为[τ]=1.5MPa,试问混凝土板满足剪切强度所需的最小厚度t应为()。
A:7.8mm
B:78mm
C:16.7mm
D:83mm
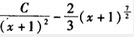
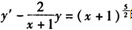
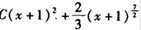
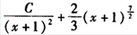
已知微分方程
的一个特解为
,则此微分方程的通解是().
A:
B:
C:
D:
复值函数变换为实值非负函数的编码方法分为几类?
长直棱柱渠道衔接,由陡坡流向平坡时发生()。
A:水跃
B:跌水
C:壅水
D:A、B、C都有可能
首页
<上一页
71
72
73
74
75
下一页>
尾页