自考题库
首页
所有科目
自考历年真题
考试分类
关于本站
游客
账号设置
退出登录
注册
登录
出自:基础考试
图示结构K截面剪力为:()
A:-1kN
B:1kN
C:-0.5kN
D:0.5kN
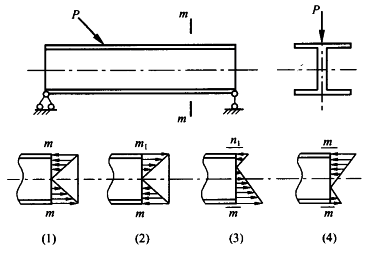
工字形截面梁在图示荷载作用下,截面m-m上的正应力分布为:()
A:图(1)
B:图(2)
C:图(3)
D:图(4)
压缩模量是在一定应力条件下的应力与应变的比值,试指出正确的应力条件()
A:单向应力条件
B:三向应力条件
C:轴对称应力条件
D:平面应力条件
()选项的岩体结构类型
不属于
《水利水电工程地质勘察规范》(GB50287-99)的岩体结构分类之列。
A:整体状、块状、次块状结构
B:巨厚层状、厚层状、中厚层状、互层和薄层状结构
C:风化卸荷状结构和风化碎块状结构
D:镶嵌碎裂结构和碎裂结构
韧性材料所处应力状态如图5-9-12所示,根据最大切应力准则,二者同时失效的条件是:()
A:σ>τ,τ=2σ/3
B:σ<τ,τ=4σ/3
C:σ=τ
D:σ>τ,σ=3τ/2
某元素原子的价电子层构型为5s
2
5p
2
,则此元素应是(),
A:位于第ⅤA族
B:位于第六周期
C:位于s区
D:位于p区
不加填料的振冲加密法适用于粘粒含量小于10%的中粗砂地基。
设图示两根圆截面梁的直径分别为d和2d,许可荷载分别为[P]
1
和[P]
2
。若二梁的材料相同,则[P]
2
/[P]
1
等于:()
A:2
B:4
C:8
D:16
用毕托管原理测量水管中某点流速u,若水银压差计读值Δh=60mm,修正系数ξ=1.0,则该点流速为()。
A:1.08m/s
B:3.39m/s
C:3.85m/s
D:4.00m/s
自然光以60°的入射角照射到某两介质交界面时,反射光为完全偏振光,则知折射光应为下列中哪条所述?()
A:完全偏振光且折射角是30°
B:部分偏振光且只是在该光由真空入射到折射率为的
介质时,折射角是30°
C:部分偏振光,但须知两种介质的折射率才能确定折射角
D:部分偏振光且折射角是30。
不定积分
()
A:A
B:B
C:C
D:D
对于图5-9-17所示的应力状态,若测出x、y方向的正应变ε
x
、ε
y
,则能确定材料的弹性常数有:()
A:E和v
B:E和G
C:v和G
D:E、G和v
一平面简谐波表达式为y=-0.05sinπ(t-2x)(SI),则该波的频率γ(Hz)、波速u(m/s)及波线上各点振动的振幅A(m)依次为:()
A:A
B:B
C:C
D:D
塑性密封止水材料流淌值的含义是其在70°C规定工作条件下的(),该值越()越好
A:流动量,大
B:流动量,小
C:下垂度,大
D:下垂度,小
单缝宽度a=1×10
-4
m,透镜焦距F=0.5m,若用λ=400nm的单色平行光垂直入射,中央明纹的宽度为:()
A:2×10
-3
m
B:2×10
-4
m
C:4×10
-4
m
D:4×10
-3
m
一束自然光自空气射向一块平板玻璃,设入射角等于布儒斯特角,则反射光为:()
A:自然光
B:部分偏振光
C:完全偏振光
D:圆偏振光
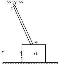
已知杆OA重力W,物块M重力Q,杆与物块间有摩擦。而物体与地面间的摩擦略去不计。当水平力P增大而物块仍然保持平衡时,杆对物块M的正压力有何变化?()
A:由小变大
B:由大变小
C:不变
D:不能确定
锤击法低应变测实心桩的传感器应安装在()。
A:桩顶中心
B:桩顶距中心1/2R(R为桩半径)处
C:桩顶侧面
D:桩顶距中心2/3R(R为桩半径)处
流体中某点的绝对压强为102kN/m
2
,当地大气压为一个工程大气压,则该点的相对压强为()。
A:1kN/m
2
B:4kN/m
2
C:-1kN/m
2
D:-4kN/m
2
若忽略杆件的轴向变形,图示体系的动力自由度数为()。
A:2
B:3
C:4
D:5
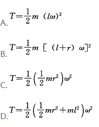
忽略质量的细杆OC=L,其端部固结匀质圆盘。杆上点C为圆盘圆心,盘质量为m,半径为r。系统从角速度ω绕轴O转动,系统的动能是( )。
A:A
B:B
C:C
D:D
一台三相电动机运行于中性点接地的低压电力系统中,操作员碰及外壳导致意外触电事故,事故原因是()。
A:输入电机的两相电源线短路,导致机壳带电
B:输入电机的某相电源线碰壳,而电机未采取过载保护
C:电机某相绝缘损坏碰壳,而电机未采取接地保护
D:电机某相绝缘损坏碰壳,而电机未采取接零保护
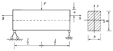
图示矩形截面梁,高度h=120mm,跨度ι=1m,梁中点受集中力P,两端受拉力S=50kN,此拉力作用在横截面的对称轴y上,距上表面a=50mm,若横截面内最大正应力与最小正应力之比为5/3,则P为:()
A:5kN
B:4kN
C:3kN
D:2kN
库仑定律F
max
=fN适用于()。
A:一般平衡状态
B:滑动状态
C:临界平衡状态
D:纯滚动状态
设L为圆周x
2
+y
2
=a
2
(a>0),则曲线积分
()
A:πae
a
B:2πe
a
C:2πae
a
D:2πa
2
e
a
在图示4种应力状态中,最大切应力值最大的应力状态是()。
A:A
B:B
C:C
D:D
当完整性指数大于()时,为完整岩体。
A:0.75
B:0.65
C:0.55
D:0.45
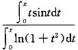
极限
等于:()
A:-1
B:0
C:1
D:2
岩石块体密度测定时的密封法适用于除遇水不崩解、不溶解和不干缩湿胀的所有各类岩石。
地形图的检查包括图面检查、野外巡视和下列中的哪一项?()
A:重点检查
B:设站检查
C:全面检查
D:在每个导线点上检查
首页
<上一页
69
70
71
72
73
下一页>
尾页