自考题库
首页
所有科目
自考历年真题
考试分类
关于本站
游客
账号设置
退出登录
注册
登录
出自:电气工程公共基础
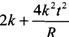
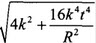
如图4-40所示,绳子的一端绕在滑轮上,另一端与置于水平面上的物块B相连,若物B的运动方程为x=kt2,其中k为常数,轮子半径为R,则轮缘上A点的加速度的大小为()。
A:2k
B:
C:
D:
轮廓
某水泵输送常温的清水,具有流量大、扬程低的特点,有比较陡的qv-H性能曲线,则该水泵应为()
A:给水泵
B:凝结水泵
C:循环水泵
D:疏水泵
目前微机使用的主流操作系统属于()。
A:批处理操作系统
B:分时操作系统
C:实时操作系统
D:网络操作系统
利用门电路的传输时间,可以把()个与非门首尾相接,组成多谐振荡器。
A:8
B:7
C:6
D:4
运算放大器应用电路如图7.4-36所示,设其输出饱和电压为±11V,输入电压为正弦信号,则输出电压uo的波形为()。
A:
B:
C:
D:
在操作系统中,设备管理主要是管理()。
A:CPU
B:主存储器
C:计算机系统中的所有外部设备
D:计算机系统中的所有硬件设备
组合电路分析的结果是要获得()。
A:逻辑电路图
B:电路的逻辑功能
C:电路的真值表
D:逻辑函数式
HTML指的是()。
A:超媒体文件
B:超文本标记语言
C:超文本传输协议
D:超文本文件
对于常温下的双原子分子理想气体,在等压膨胀过程中,系统对外所做的功与从外界吸收的热量之比应等于()。
A:7/2
B:5/2
C:2/5
D:2/7
磁致旋光性
列物质与H
2
O
2
水溶液相遇时,能使H
2
O
2
显还原性的是()。 已知
:,
A:KMnO
4
(酸性)
B:SnC
12
C:Fe
2+
D:NaOH
低压系统接地型式有( )等。
A:TN
B:TN-C-N
C:IT
D:TN-C-S
关于互斥投资方案比选的说法中,正确的是()。
A:在计算期相同时,可直接依据各方案的净现值大小比选
B:采用差额内部收益率法时,若差额内部收益率大于零,保留投资大的方案
C:计算期不同时,可取最短的计算期作为比较期,计算各方案在该比较期内的净现值,进行方案选择
D:采用净现值法时,不必考虑各方案的寿命期而直接比较各方案的财务净现值
打开窗口的控制菜单的操作可以单击控制菜单框或者()。
A:按【Alt】+【Space】
B:按【Shift】+【Space】
C:双击标题栏
D:按【Ctrl】+【Space】
不相干
某逻辑电路如图7-62所示,若输入A=1,B=0,则输出F1和F2分别为()。
A:F1=0,F2=0
B:
C:F1=1,F2=0
D:
以下关于虚拟机本质的说法中,正确的是()。
A:虚拟机是一组易于传送和备份的文件。虚拟机文件封装在一个文件夹中,并存储在数据存储上
B:虚拟机独立于硬件
C:虚拟机共享其所在ESXI主机的所有资源
D:虚拟机是一套虚拟硬件,可在其上运行受支持的客户操作系统和应用程序
衡量A/D和D/A转换器性能优劣主要指标是()。,
A:分解度
B:线性度
C:功率消耗
D:转换精度和转换速度
电可擦除的PROM器件是()
A:EPROM
B:E2PROM
C:PLA
D:PAL
下列无符号整数中,数值最小的是()。
A:(10010010)2
B:(221)8
C:(147)10
D:(94)16
因债务人怠于行使到期债权,对债权人造成损害的,债权人可以依法行使()。
A:撤销权
B:代位权
C:不安抗辩权
D:先履行抗辩权
两相干波源S
1
和S
2
相距λ/4(λ为波长),S
1
的相位比S
2
的相位超前π/2,在S
1
和S
2
的连线上,S
1
外侧各点两波引起的两谐振动的相位差是()。
A:0
B:π/2
C:π
D:3π/2
线圈套装完毕,进行器身整体组装时应注意哪几个方面的问题?
合同被确认为无效时,不影响()的效力。
A:清理条款
B:解决争议方法的条款
C:违约责任条款
D:结算条款
以下()不是国家标准GB1094.1—1996《电力变压器第一部分总则》中规定的变压器试验。
A:例行试验
B:型式试验
C:特殊试验
D:预试试验
设X1,…,X81是取自正态总体N(μ,9)的样本,要检验H0:μ=0则当H0成立时,检验统计量().
A:3
B:3
C:9服从t(81)
D:3服从N(0,1)
光出射度(MV)
DAC0832根据其6个控制信号的不同连接方式,有()三种工作方式。
A:单级缓冲工作方式
B:双级缓冲工作方式
C:多级缓冲工作方式
D:直通工作方式
不定积分
等于()。
A:xf'(x)-f'(x)+C
B:xf'(x)-f(x)+C
C:xf'(x)+f'(x)+C
D:xf'(x)+f(x)+C
首页
<上一页
69
70
71
72
73
下一页>
尾页