自考题库
首页
所有科目
自考历年真题
考试分类
关于本站
游客
账号设置
退出登录
注册
登录
出自:初级中学教师资格证
同性恋的症状表现有()。
A:对同性有强烈的性欲或性爱感情
B:看见自己喜欢的同性,则会产生恋爱的感觉
C:对异性也感兴趣
D:出现欲与自己喜欢的同性性结合的欲望
人工智能的发展过程可以大致归结为两大阶段,这两大阶段分别是()。
A:前期和发展期
B:形成期和发展期
C:前期和后期
D:低级和高级
中国近代教育史上第一个现代学制系统产生于()。
A:1901年
B:1902年
C:1903年
D:1904年
班主任的工作重点和最为经常的工作是对学生进行品德教育。
抗战时期回民支队等少数民族抗日武装力量的出现直接反映了()
A:国内民族间的矛盾已经完全消失
B:抗日战争是全民族的抗战
C:正面战场未能阻止日军的速战速决
D:敌后抗日根据地已经成为抗战的主战场
操作技能根据动作的连贯与否可以分为()操作技能与()操作技能。
人的身心发展包括两个方面:一是生理的发展,二是心理的发展。
下列有关肾小球的叙述中正确的是()。
A:连接肾小球的血管均为动脉
B:连接肾小球的血管均为静脉
C:入球血管为静脉,出球血管为动脉
D:人球血管为动脉,出球血管为静脉
何谓最优子结构性质?
工业革命于18世纪下半叶率先从()开始,它是用机器生产系统地取代()的过程。工业革命首先在()行业中发生;()因最早开办机器纺纱厂而被誉为“近代工厂之父”;()改良蒸汽机,研制出联动式蒸汽机,是工业革命中最重大的技术发明;()发明“搅炼和碾压法”,使英国钢铁生产居世界最前列;()成功研制出世界上第一台蒸汽机车。工业革命使英国确立“()”的地位。
在电视剧《乡村爱情》中,有这样一个情节:刘能到“大脚超市”买烟,他除了支付10元的烟钱,还被谢大脚要去上次赊欠的酒钱20元。在这里,货币先后执行的职能是()。
A:价值尺度和流通手段
B:流通手段和支付手段
C:支付手段和流通手段
D:价值尺度和支付手段
“克里斯提尼在推行民主制的同时,也更为注重公民权的限制,移民要想获得雅典的公民权更为困难,„„只有那些为雅典做出突出贡献的迈提克(指外邦人),作为一种奖励,在经公民大会的特别投票通过后才能获得雅典公民权。”这段材料主要说明了()
A:外邦人不可能获得雅典公民权
B:雅典公民的利益得到了维护
C:公民大会的权力进一步扩大
D:基本铲除了旧贵族的世袭权力
2014年1月29日,我国科学家拍摄到雷暴天气中球状闪电的视频,并记录下光谱。这被认为是迄今为止自然界球状闪电的首次科学记录。该记录证实了球状闪电的真实存在性,并提供了球状闪电如何存在的重要线索。这项研究被发表在国际知名物理期刊《物理学评论快报》上,引起广泛关注。对球状闪电的科学记录,进一步佐证了()①自然界的客观性②意识是对客观事物的正确反映③认识具有反复性、无限性和上升性④人们的认识是无限的
A:①②
B:①③
C:②④
D:②③
假如你的手机收到了这样一条信息:“你好,这里是中国移动客户服务热线,由于我们工作失误,你的话费本月共多收了108元,如确认退费请按……”。最好从哪个方面鉴别信息的真伪?()
A:信息的价值
B:信息的来源
C:信息的实效
D:信息的诱惑
从6名志愿者中选出4人分别从事翻译、导游、导购、保洁四项不同工作,若其中甲、乙两名志愿者都不能从事翻译工作,则选派方案共有()。
A:280种
B:240种
C:180种
D:96种
教师自编主观题的类型包括()和问题解决题两类。
我国北极地区考查队员可见极昼现象,太阳运行在地平线以上终日不落,仰望苍穹,则太阳应在天空中做()
A:顺时针环行
B:逆时针环行
C:从南到北直行
D:从东到西直行
有网友发表帖子讨论科举制时说:“自秦以来,科举兴于世。始以八股为试,学子彻夜秉读。然科举追求功禄,令学子神经麻木,岂真学识耶?”对该帖最恰当的评价是()
A:对科举制的评价是完全正确的
B:仅从追求功禄评价科举制是片面的
C:关于科举制的史实和评价都有问题
D:关于科举制和八股取士产生时间都有错误
在行为强化理论中,负强化等同于惩罚。
制约学校课程的三大因素是社会、知识和儿童。
()是运用标准化的心理测验对被试的某些心理品质测定,研究心理现象的方法。
A:调查法
B:临床法
C:个案法
D:测验法
某旅行网站在2014年世界杯期间,上线了高端美食频道,使球迷在旅途中不仅可以订酒店订机票,在想看球的时候还可以查找美食场所一边看球一边享受美食,满足了他们的多样需求。这一新举措也为网站带来了可观的经济效益。材料体现的经济生活的道理有()①生产决定消费②消费决定生产的质量和水平③满足消费需求是企业经营的直接目的④勇于创新是企业营销成功的重要因素
A:①③
B:②③
C:②④
D:①④
教师在讲授《孔雀东南飞》时,让学生谈谈对“指如削葱根,口如含朱丹”一句的理解,以下说法中
不正确
的一项是()。
A:运用了外貌描写手法,刻画出一位貌美的女性的形象
B:运用了比喻的修辞手法,对女性之美的形容恰当而贴切
C:手指纤细、洁白,像尖尖的洁白的葱根;嘴唇红润,像含着红色的朱砂
D:运用了白描的手法,从外貌的细节着手,刻画精细
新航路的开辟是世界各民族的发展逐渐融合为一部统一的人类历史的重要阶段,这种“融合”和“统一”实现的主要方式是()
A:西方的殖民扩张和掠夺
B:东方的借鉴学习
C:正常的文化交流
D:工业革命的逐步扩展
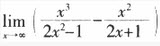
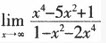
求下列极限: (1)
;(2)
人们对智力的培养方式可分为()
A:智力开发的学习模式
B:智力开发的教学模式
C:智力开发的训练模式
D:智力开发的认知模式
E:智力开发的理性模式
《汉书·严助传》记载:“郡举贤良,对策百余人,武帝善助对,由是独擢助为中大夫。后屡举贤良文学之士。„„开东阁,延贤人与谋议,朝觐奏事,因言国家便宜。”材料表明汉武帝时期()
A:选官权控制在地方手中
B:任用儒生参政加强皇权
C:儒家思想成为主流思想
D:贤良是选官的主要标准
这次战事(役)结束后,南线国民党军主力全部被歼,南京、上海及武汉已面临严重威胁。纽约《先驱论坛报》感叹:“中国打完了最大规模的一场战争,南京国民政府遭到的悲剧,显示出一个时代的结束”。材料反映的是()
A:北伐战争
B:淞沪会战
C:徐州会战
D:淮海战役
罗老师的《世界文化之旅》教学设计如下:①活动准备:教师适当提供相关背景资料,如有关网址、参考建议、教学目标等。②确定研究主题:学生选择一个自己感兴趣的民族或国家,通过各种途径收集资料,既可以单独进行.也可以小组形式进行。③搜集整理资料:学生将查找到的相关资料进行整合,编成手抄报,进行成果展示。有能力、有条件的同学,还可制作成PowerPoint课件或网页,插入图片、影片或声音等,全方位地介绍有关文化。④汇编成册:教师将全部手抄报装订成册,汇编成一本《世界文化荟萃》。在编制《世界文化荟萃》时,可在相关页面设计导语,按一定的逻辑顺序编排,使之成为一本有审美价值、实用价值和纪念意义的集子。⑤班内交流:组织学生作品进行课堂交流,尽可能让更多的学生有展示自己才华的机会。《世界文化荟萃》作为班级资料,学生在平时可以相互传阅,分享学习的快乐,体会成功的喜悦。
第1题,共1个问题
(简答题)该教师主要采用了什么教学方法?请你分析此教学法的内涵及其基本要求。
历史学家亨廷顿把人类文明的交流划分为三个时期:1500年以前称之为遭遇时期;1500年至19世纪末称之为冲击期;19世纪末到20世纪初则是相互作用时期。其中第二个时期,西方工业文明对农业文明形成巨大冲击的表现有()①经济掠夺和商品输出,破坏了亚洲的传统经济结构②发动侵略战争,破坏了美洲国家的主权和领土完整③民主思想的广泛传播,冲击了东方的传统思想观念④甘蔗、葡萄等物产的引进,丰富了欧洲居民的生活
A:①②
B:①②③
C:②③④
D:①②③④
首页
<上一页
704
705
706
707
708
下一页>
尾页