自考题库
首页
所有科目
自考历年真题
考试分类
关于本站
游客
账号设置
退出登录
注册
登录
出自:基础考试
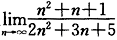
极限
=()。
A:0
B:1/2
C:1
D:2
欧拉法描述液体运动时,表示同一时刻因位置变化而形成的加速度称为:()
A:当地加速度
B:迁移加速度
C:液体质点加速度
D:加速度
岩体变形模量采用室内变形试验成果的算术平均值作为标准值。岩石吸水试验的吸水时间对其成果的影响可以忽视。
流体的压力p、速度v、密度ρ正确的无量纲数组合是:()
A:A
B:B
C:C
D:D
“理想气体和单一热源接触作等温膨胀时,吸收的热量全部用来对外做功。”对此说法,有如下几种评论,哪种是正确的?()
A:不违反热力学第一定律,但违反热力学第二定律
B:不违反热力学第二定律,但违反热力学第一定律
C:不违反热力学第一定律,也不违反热力学第二定律
D:违反热力学第一定律,也违反热力学第二定律
盛水容器a和b的上方密封,测压管水面位置如图所示,其底部压强分别为p
a
和p
b
。若两容器内水深相等,则p
a
和p
b
的关系为:()
A:p
a
>p
b
B:p
a
C:p
a
=p
b
D:无法确定
图示结构杆①的轴力为:()
A:0
B:P
C:-P
D:1.414P
岩石压缩变形试验时,坚硬岩石采用()法。
A:电阻应变片
B:千分表
C:百分表
D:以上答案都对
图示连接件,两端受拉力P作用,接头的挤压面积为:()
A:ab
B:cb
C:Lb
D:Lc
地形图是按一定比例,用规定的符号表示下列哪一项的正射投影图?()
A:地物的平面位置
B:地物、地貌的平面位置和高程
C:地貌高程位置
D:地面高低状态
对钢筋混凝土梁斜截面受剪承载力计算的位置是下列中哪几个截面?()Ⅰ.支座边缘处的截面Ⅱ.受拉区弯起钢筋弯起点处的截面Ⅲ.箍筋截面面积或间距改变处的截面Ⅳ.截面尺寸改变处的截面
A:Ⅰ、Ⅲ、Ⅳ
B:Ⅰ、Ⅱ、Ⅳ
C:Ⅰ、Ⅱ、Ⅲ
D:Ⅰ、Ⅱ、Ⅲ、Ⅳ
下列各波函数不合理的是:()
A:ψ(1,1,0)
B:ψ(2,1,0)
C:ψ(3,2,0)
D:ψ(5,3,0)
渗透变形可分为()两种型式.
A:管涌和流土
B:管涌型土和非管涌型土
C:流土型土和非流土型土
D:流砂和流土
通常的岩体变形试验的变形稳定标准有如下三种标准:以一定时间内变形的绝对变化值为标准,以一定时间内变形的相对变化值为标准,以时间作为变形稳定标准。
图示一结构受两种荷载作用,对应位置处的支座反力关系应为:()
A:完全相同
B:完全不同
C:竖向反力相同,水平反力不同
D:水平反力相同,竖向反力不同
高压喷射法浆有哪几种喷射移动方式?()
A:旋喷
B:定喷
C:摆喷
D:雾喷
图示瞬时,作平面运动图形上A、B两点的加速度相等,即a
A
=a
B
,则该瞬时平面图形的角速度w与角加速度α分别是:()
A:w=0,α≠0
B:w≠0,α=0
C:w=0,α=0
D:w≠0,α≠0
某土样的排水剪指标c'=20kPa,
'=30°,当所受总应力σ
1
=500kPa,σ
s
=177kPa时,土样内孔隙水压力u=50kPa时,土样处于什么状态?()
A:安全状态
B:极限平衡状态
C:破坏状态
D:静力平衡状态
圆轴直径为d,切变模量为G,在外力作用下发生扭转变形,现测得单位长度扭转角为θ,圆轴的最大切应力是:()
A:A
B:B
C:C
D:D
一水平放置的恒定变直径圆管流,不计水头损失,取两个截面标记为1和2,当d
1
>d
2
时,则两截面形心压强关系是:()
A:p
1
B:P
1
>P
2
C:p
1
=p
2
D:不能确定
上题中的原电池反应的lgK
为()。
A:-164
B:110
C:5.07
D:164
在三角高程测量时,常采用对向观测,对向观测后取高差平均值可消除的影响为()。
A:仪器高及目标高量测的影响
B:竖直角观测误差
C:地球曲率差及大气折光差
D:距离误差
图5-8-7所示二梁除载荷外其余条件相同。最大挠度比Y
B2
/Y
B1
为:()
A:2
B:4
C:8
D:16/5
一幅地形图上,等高线越稀疏,表示地貌的状态是:()
A:坡度均匀
B:坡度越小
C:坡度越大
D:陡峻
一质点t=0时刻位于最大位移处并沿y方向作谐振动,以此振动质点为波源,则沿x轴正方向传播、波长为λ的横波的波动方程可以写为()。
A:y=Acos(2πt/T-π/2-2πx/λ)
B:y=Acos(2πt/T-π/2+2πx/λ)
C:y=Acos(2πt/T+π/2-2πx/λ)
D:y=Acos(2πt/T+π/2πx/λ)
波长为λ的单色平行光垂直入射到一狭缝上,若第一级暗纹的位置对应的衍射角为θ=±π/6,则缝宽的大小为:()
A:λ/2
B:λ
C:2λ
D:3λ
将设计的建筑物位置在实地标定出来作为施工依据的工作称为:()
A:测定
B:测绘
C:测设
D:定线
岩石遭风化剥蚀后残留在原地而未被搬运的土层称为()
A:风积土
B:坡积土
C:残积土
D:运积土
在选择砌体材料时,以下正确的说法是:()Ⅰ.地面以下或防潮层以下的砌体,不宜采用多孔砖Ⅱ.处于有侵蚀性介质的砌体,应采用不低于MU20的实心砖Ⅲ.处于有侵蚀性介质的砌体,应采用不低于MU15的混凝土砌块Ⅳ.砌体强度设计值与构件截面尺寸无关
A:Ⅰ、Ⅲ
B:Ⅰ、Ⅱ、Ⅲ
C:Ⅱ、Ⅲ、Ⅳ
D:Ⅰ、Ⅲ、Ⅳ
下列氧化物中既可与稀H
2
SO
4
,又可与稀NaOH作用的是()。
A:CO
2
B:SiO
2
C:Cu
2
O
D:Al
2
O
3
首页
<上一页
68
69
70
71
72
下一页>
尾页