自考题库
首页
所有科目
自考历年真题
考试分类
关于本站
游客
账号设置
退出登录
注册
登录
出自:电气工程公共基础
数字10可能是()。
A:二进制数
B:十进制数
C:八进制数
D:十六进制数
发电机进相运行是指发电机_________的稳定运行状态,其定子电流相位_________定子电压相位。
图6-15所示一高压喷嘴,喷嘴出口断面1-1的平均流速为10m/s,喷至2-2断面的平均流减少为1m/s,不计水头损失,则喷射高度H为()m。
A:4.54
B:3.25
C:5.05
D:6.22
舒畅同学在厨房中进行的下列活动,
不属于
化学变化的是()
A:用食醋除去暖水瓶中的水垢
B:切过果蔬的菜刀未处理而生锈
C:将黄瓜拍成块状
D:和面时加入纯碱除去馒头的酸味
一致像
变压器负载测试时,功率表的功率因数越高测量结果越准确。()
匹配滤波器组,可以采用哪两种方法?
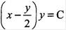
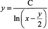
微分方程ydx+(x-y)dy=0的通解是()。
A:
B:
C:xy=C
D:
双折射
变压器带有局部放电测量的长时感应耐压试验在试验前应该对实验仪器进行校准.( )
以球面顶点O为原点,球心C在O点右侧,则曲率半径r为正(正或负),球心C在O点左侧,则曲率半径r为()
以下属于防火墙的硬件体系结构是()。
A:PC计算机架构
B:通用CPU架构
C:ASIC架构
D:网络处理架构
以下关于计算机病毒的描述错误的是()。
A:计算机病毒具有传染性、破化性和潜伏性
B:计算机病毒会破坏显示器
C:计算机病毒是一种程序
D:一般已知的计算机病毒可以被杀毒软件清楚
《建设工程安全生产管理条例》第14条第2款规定,工程监理单位在实施监理过程中,发现存在安全事故隐患的,应当要求施工单位整改;情况严重的,应当要求施工单位()。
A:暂时停止施工,并及时报告建设单位
B:终止施工
C:与建设单位协商
D:与建设单位解除承包合同
工频耐压的试验目的是考核绕组对地和绕组之间的主绝缘强度。则下列说法错误的是()
A:这一目的对于全绝缘变压器来说完全能达到。
B:这一目的对于分级绝缘变压器来说完全能达到。
C:这一目的对于分级绝缘变压器,则只能考核绕组对铁轭的端绝缘,绕组部分引线对地绝缘强度。
D:这一目的对于分级绝缘变压器来说至于绕组对地和绕组之间的绝缘强度是无法达到考核目的。
在财务评价过程中,销售税金及附加
不包括
()。
A:城市建设维护税
B:营业税
C:教育费附加
D:所得税
允许多个用户以交互方式使用计算机的操作系统是()。
A:批处理单道系统
B:分时操作系统
C:实时操作系统
D:批处理多道系统
如图7-71所示,电路具有()。
A:保持功能
B:置"0"功能
C:置"1"功能
D:计数功能
既考虑本位数又考虑低位来的进位的加法称为()。
A:全加
B:半加
C:全减
D:半减
施密特触发器可用于()
A:脉冲展宽电路
B:脉冲幅度鉴别
C:脉冲整形与变换
D:脉冲产生
用半波带法研究菲涅耳圆孔衍射,其中圆孔轴线上P点明暗决定于()。
A:圆孔的大小
B:圆孔到P点的距离
C:半波带数目的奇偶
D:圆孔半径与波长的比值
三极管开关电路的可靠工作条件是()。
A:输入低电平时,三极管工作在截止区,输出为高电平。
B:输入高电平时,三极管工作在饱和区,输出为低电平。
C:输入低电平时,三极管工作在截止区,输出为低电平。
D:输入高电平时,三极管工作在饱和区,输出为高电平。
复数滤波器
一变压器的绕组D连接,其额定电流为I,三相直流电阻平均值为R,此绕组的直流电阻损耗为()。
A:I2R
B:3I2R
C:1.5I2R
D:3I2(R/1.5)
如图所示文丘里管,已知管道直径d1=100mm,喉道直径d2=50mm,文丘里流量计流量系数μ=0.94,水银差压计读数h=25cm,则管道通过的水流量Q=()m2/s。
 ;
A:0.030
B:0.025
C:0.020
D:0.015
已知λ=2是三阶矩阵A的一个特征值,α1,α2是A的属于λ=2的特征向量。若α1=(1,2,0)T,α2=(1,0,1)T,向量β=(-1,2,-2)T,则Aβ等于()。
A:(2,2,1)T
B:(-1,2,_2)T
C:(-2,4,-4)T
D:(-2,-4,4)
描述WlanAP的POE设备安装规范错误的是()。
A:POE供电模块安装在机房时,需用扎带固定在机架上,允许悬空放置或直接将POE供电模块直接堆叠在交换机上,保持通风良好,可散热。
B:POE供电模块输出端口输出44-57v的直流电压,350-400mA直流]电流,在施工部署时要明确每个AP设备的功率,匹配相应的供电模块。
C:机房的交流配电箱如有备用的空气开关,可从备用的空气开关引电源线排插,为POE供电模块集中供电,如无多余的空气开关,则需增加空气开关引电。
D:设备安装位置必须符合工程设计要求
CRT的分辨率是1024×1024像素,像素颜色数是256,则显示存储器的容量至少应有()。
A:512KB
B:1MB
C:256KB
D:2MB
关于SAN描述错误的是()。
A:SAN是一种本地存储技术,全称为存储附加网络
B:SAN的全称为存储区域网络
C:SAN是一种网络存储技术
D:SAN是通过网线连接的磁盘阵列
光学系统中物和像具有共轭关系的原因是()
首页
<上一页
5
6
7
8
9
下一页>
尾页