自考题库
首页
所有科目
自考历年真题
考试分类
关于本站
游客
账号设置
退出登录
注册
登录
出自:电气工程公共基础
常温下一摩尔双原子分子理想气体,当温度为T时,其内能应为()。
A:3/2RT
B:3/2kT
C:5/2RT
D:5/2kT
某一单位内(如学校)的一个计算机网络属于()。
A:广域网
B:局域网
C:城域网
D:校园网
设齐次方程组,当方程组有非零解时,k值为()。
A:-2或3
B:2或3
C:2或-3
D:-2或-3
于Wlan设备AP站址选择,下面哪个描述是正确的()。
A:如果AP安装在天花板上,必须用固定架定住,允许悬空放置或直接置于天花板上
B:充分利用已有物业,靠近目标覆盖区
C:在管线出入方便,靠近弱电井道的地方
D:尽量选择方便安装的地方
圆管层流的平均流速是4m/s,其管中心处的最大流速为()m/s。
A:8
B:4
C:16
D:10
变压器原、副方额定电压的含义是什么?
数制是人们对数量计数的一种统计规则,在数字系统中广泛采用的是()
A:十进制
B:二进制
C:八进制
D:十六进制
下列关于杂化轨道的一些说法,正确的是()。
A:CH4分子中的sp3杂化轨道是由H原子的1个s轨道和C原子的3个p轨道混合起来而形成的
B:sp3杂化轨道是由同一原子中的1个ns轨道和3个np轨道混合起来重新组合成的4个新的原子轨道
C:凡是中心原子采取sp3杂化轨道成键的分子,其几何构型都是正四面体
D:凡AB3型共价化合物,其中心原子A均采用sp3杂化轨道成键
水冷变压器的冷却水温度不超过()
A:15℃
B:20℃
C:25℃
D:30℃
一次设备停电,保护装置及二次回路无工作时,保护装置_________,但其跳其它运行开关的出口压板_________。
下列物质中,两个氢原子的化学性质不同的是()。
A:乙炔
B:甲酸
C:甲醛
D:乙二酸
二极管与门的两输入信号AB=()时,输出为高电平。
A:00
B:01
C:10
D:11
当触电人脱离电源后,发现心跳加速或呼吸停止,应立即( )。
A:就地等待医生
B:送往医院
C:就地心肺复苏抢救
简述感抗、容抗、电抗和阻抗的意义。
决定网络使用性能的关键是()。
A:传输介质
B:网络操作系统
C:服务器
D:网络硬件
某工厂现在向银行贷款资金500万元,按季计算利息,季利率为2%,问:工厂在一年末需要支付的本金和利息总和是()万元。
A:530.6
B:540.0
C:541.2
D:563,1
TTL与非门高电平输入电流IIH的参数规范值是()。
A:20uA
B:40uA
C:1.6mA
D:16mA
在外施耐压试验时常用的测量试验电压的方法有哪几种?
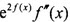
已知f(x)是二阶可导的函数,,则为()。
A:
B:
C:
D:
下面对555电路内部结构描述正确的是()
A:有3个500电阻构成的分压器
B:有两个电压比较器
C:有一个基本RS触发器
D:一个驱动器和一个放电管
多路数据选择器MUX的输入信号可以是()。
A:数字信号
B:模拟信号
C:数模混合信号
D:数字和模拟信号
在进行项目经济评价时使用的基准收益率是指()。
A:投资要求达到的最高收益率
B:投资要求达到的最低收益率
C:投资要求达到的适中收益率
D:投资要求达到的标准收益率
Windows操作系统中,启动程序或窗口,只要()对象的图表即可。
A:用鼠标左键双击
B:用鼠标右键双击
C:用鼠标左键单击
D:用鼠标右键单击
在某温度时,下列体系属于缓冲溶液的是()。
A:O.100mol/L的NH4Cl溶液
B:O.100mol/L的NaAc溶液
C:0.400mol/L的HCl与0.200mol/LNH3·H2O等体积混合的溶液
D:0.400mol/L的NH3·H2O与0.200mol/LHCl等体积混合的溶液
变压器的噪音测量油箱高度与测量轮廓线无关.( )
经有关主管部门审查,以下建设工程的勘察、设计,应当招标发包的是()。
A:采用特定的专利技术的
B:采用特定的专有技术的
C:建筑艺术造型有特殊要求的
D:采用新型节能材料的
298K时,标准态下Cu2++FeαCu+Fe2+达到平衡时,则此反应的等于()。(已知:)
A:2×0.787/0.0592
B:0.787/0.0592
C:0.0592×0.787/2
D:0.0592/0.787
操作系统中的进程是()。
A:一个系统软件
B:与程序概念等效
C:存放在主存中的程序
D:执行中的程序
某逻辑电路由一个功能块电路组成.整体电路的逻辑功能与这个功能块原来的逻辑功能()。
A:一定相同
B:一定不同
C:不一定相同
D:无法确定
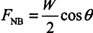
如图4-13所示,重力为W的圆球置于光滑的斜槽内,右侧斜面对球的约束力的大小为()。
A:
B:
C:
D:
首页
<上一页
66
67
68
69
70
下一页>
尾页