自考题库
首页
所有科目
自考历年真题
考试分类
关于本站
游客
账号设置
退出登录
注册
登录
出自:初级中学教师资格证
“巧者劳而智者忧,无能者无所求,饱食而遨游,泛若不系之舟,虚而遨游者。”该描述应符合()
A:儒家思想
B:道家思想
C:法家思想
D:墨家思想
知识学习的三阶段中,应解决的主要心理问题分别是知识的()、保持和()。
建国君民,教学为先”这句话反映了()。
A:教育与政治的关系
B:教育与经济的关系
C:教育与文化的关系
D:教育与科技的关系
唐宋之际,城市商业、手工业者职业分工更加细化,从事服务业、娱乐业的社会群体逐渐扩大,游手、闲汉、乞丐等无业人员活动在城市的各个角落。这表明当时的城市()
A:经济功能明显增强
B:坊市制度已被打破
C:居民贫富分化加剧
D:人口增多规模扩大
依据《义务教育音乐课程标准(2011年版)》的理念,针对《歌唱祖国》设计一课时的初中演唱课。要求:(1)教学目标:从课程标准的三个维度进行目标设计,注意行为动词的表述,具有可操作性。 (2)教学环节:关注音乐本体,注重参与体验,注意学习方式,培养学习能力,方法适合全体学生。
班级授课制的最大缺点在于()
A:对基础差的学生不利
B:对基础好的学生不利
C:对教学任务的高质量完成不利
D:不利于实施因材施教
2014年3月16日,中共中央、国务院印发的《国家新型城镇化规划(2014~2020年)》提出,完善农业转移人口社会参与机制,提高各级党代会代表、人大代表、政协委员中农民工的比例,引导农业转移人口有序参政议政和参加社会管理。该举措()①保证了农民工合法权益不受侵犯②体现了人民民主具有真实性特点③优先保护了农业转移人口的权益④能够有序扩大公民参与政治生活
A:①②
B:③④
C:①③
D:②④
金某(15周岁)在课间因小事与同学沈某发生争执,金某一拳击中沈某头部,致使沈某倒地,送医院不洽死亡,问金某应当负什么责任?( )
A:应负相对刑事责任
B:不应负刑事责任
C:应负完全刑事责任
D:应负刑事责任
俄罗斯社会学家米罗诺夫写道:“(继续)战争注定会使俄国国内反对沙皇制度的斗争转变为反对新的民主制度的斗争,因为受教育阶层已经失去了对民众的控制。„„因此,社会主义者把人民吸引到自己这边来,并推翻了现存政府。”对该材料解读正确的是()
A:“战争”是指克里米亚战争
B:“新的民主制度”指社会主义制度
C:“受教育阶层”指无产阶级
D:“现存政府”指资产阶级临时政府
即使不给予强化或奖励,学习也能够发生。这种学习被称为()。
A:替代强化
B:潜伏学习
C:试误学习
D:意义学习
“一丝不苟”中的“丝”的本意是()。
A:计量单位
B:计时单位
C:丝绸
D:发丝
教育是在下列哪一方面的基础上,在人和社会形成过程中产生的?()
A:政治
B:劳动
C:语言
D:经济
简述教学技能训练的原则有哪些。
试论述学校教育对个体发展的独特功能。
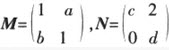
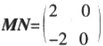
已知矩阵
,且
。 (Ⅰ)求实数a、b、c、d的值; (Ⅱ)求直线y=3x在矩阵M所对应的线性变换作用下的像的方程。
历史上尚未出现的教学组织形式是()。
A:个别化教学
B:集体教学
C:综合类教学
D:新普多教学
有些课题主要包含高度有结构的知识和技能,如果教学目标是要求学生尽快地掌握这种知识和技能,则宜于采用()。
A:以学生为中心的发现学习
B:合作学习策略
C:以教师为中心的讲授策略
D:师生互动策略
甲、乙两辆汽车,同时在一条平直的公路上自西向东运动,开始时刻两车平齐,相对于地面的υ-t图象如图所示,关于它们的运动,下列说法正确的是()。
A:甲车中的乘客说,乙车先以速度υ
0
向西做匀减速运动,后向东做匀加速运动
B:乙车中的乘客说,甲车先以速度υ
0
向西做匀减速运动,后向东做匀加速运动
C:根据υ-t图象可知,开始乙车在前,甲车在后,两车距离先减小后增大,当乙车速度增大到υ
0
时,两车恰好平齐
D:根据υ-t图象可知,开始甲车在前,乙车在后,两车距离先增大后减小,当乙车速度增大到υ
0
时,两车恰好平齐
苏联作家奥斯特洛夫斯基描写的一部革命战争篇小说在20世纪影响了许多中国人。这部作品是()。
A:《童年》
B:《钢铁是怎样炼成的》
C:《战争与和平》
D:《列宁》
1926年12月,有戏报鼻祖之称的《罗宾汉》在上海创办,该报内容兼电影、戏曲、演艺之类,后改为专业的戏剧报,每期都有关于戏剧界的掌故、趣闻、轶事和名角的花边新闻,得到广戏迷和普通百姓的喜爱。该报()
A:推动了城市文化多元化的发展
B:是西方列强文化侵略的直接产物
C:是国民政府新生活运动的喉舌
D:说明近代上海传统文化的繁盛
以下史实中,与马丁·路德宗教改革处于同一世纪的是()
A:拉马克提出早期进化论观点
B:麦哲伦船队完成环球航行
C:牛顿发现物体运动三大定律
D:荷兰成为“海上马车夫”
李老师平时对学生特别关心,每个学生有困难她都尽力帮助,李老师班里的学生成绩明显比其他班高。这说明在教师的人格中()对教学有显著影响。
A:说到做到
B:敬业精神
C:热心和同情心
D:重义气,讲交情
中学生王某上课玩手机,被班主任李某当场没收。王某课后向李某承认错误并要求归还其手机,被李某以王某违反校规为由拒绝。李某的做法()。
A:正确,学校规章应该人人遵守
B:正确,教师有惩成学生的权利
C:不正确,侵犯了学生的财产权
D:不正确,应上交学校销毁
为了实现保障重要农产品市场基本稳定、市场价格波动尽量不超出预定调控区间的目标,政府可以()
A:在市场价格过低时补贴低收入消费者
B:严守耕地保护红线,划定永久基本农田
C:把农产品价格完全交给市场决定,政府放手不管
D:综合运用农产品储备吞吐、进出口调节等手段
库珀史密斯提出培养自尊心的先决条件是______、成就感和有力感。
美国总统奥巴马曾说:“„„中国却没等待,实施经济改革。德国、印度也没有等待。这些国家没有原地踏步,也不想成为次要国家。”这表明()
A:一超多强的格局被打破
B:美国已沦为次要国家
C:新的国际格局已经确立
D:多极化趋势正在加强
群体成员中原已存在的倾向性,通过群体的作用而得到加强,使一种观点或态度从原来的群体平均水平加强到具有支配性水平的现象称()。
咬字吐字属于十三辙中“发花”辙的是()。
A:爹、也、月、铁
B:来、在、爱、该
C:家、抓、把、呀
D:到、飘、高、跳
()是教学内容的裁体,是教学内容的表现形式,是师生之间传递信息的工具。
A:教学内容
B:教学媒体
C:教学环境
D:教学过程
在国民收入中,1957年同1952年相比,国营经济所占比重由19%提高到33%,合作社经济由1.5%提高到56%,公私合营经济由0.7%提高到8%,个体经济和资本主义经济则都降低到3%以下。这说明()
A:生产关系的改造工作已经完成
B:“一五”计划的主要任务超额完成
C:国营、集体经济已占主导地位
D:重工业成为经济发展的重点
首页
<上一页
668
669
670
671
672
下一页>
尾页