自考题库
首页
所有科目
自考历年真题
考试分类
关于本站
游客
账号设置
退出登录
注册
登录
出自:电气工程公共基础
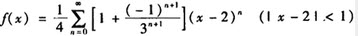
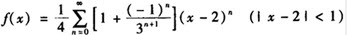
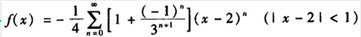
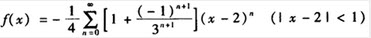
函数
在x=2处的泰勒级数展开式为().
A:
B:
C:
D:
电阻分压器使用屏蔽环可以改善分压器上的电压分布。()
ROM可以用来存储程序、表格和大量固定数据,但它不可以用来实现()。
A:代码转换
B:逻辑函数
C:乘法运算
D:计数器
十进制数68与八进制数()是相等的。
A:68
B:104
C:105
D:106
操作系统具有进程管理存储管理、文件管理和设备管理的功能,在以下有关的描述中,错误的是()。
A:进程管理主要是对程序进行管理
B:存储管理主要管理内存资源
C:文件管理可以有效地支持对文件的操作,解决文件共享、保密和保护问题
D:设备管理是指计算机系统中除了CPU和内存以外的所有输入、输出设备的管理
若从两个项目方案中选择一个方案进行建设,而两个方案的设计寿命期不相等,可应用的技术经济评价指标是()。
A:NPV
B:NAV
C:IRR
D:AIRR
已知,从标准电极电势看,MnO2不能氧化Cl-,但用MnO2加浓盐酸,可以生成Cl2,这是因为()。
A:两个相差不大
B:酸性增强,也增加
C:Cl-浓度增加,减少
D:以上三个因素都有
厨房里发生的下列变化中,不涉及化学变化的是()
A:菜刀生锈
B:葡萄酿酒
C:食品发霉
D:瓷盘摔碎
将(11101110.00101011)2转换成八进制数结果是()。
A:356.123
B:356.126
C:353.126
D:353.123
单色光的几何像差有哪些?复色光的几何像差有哪些?
理想光学系统的基点和基面有哪些?
一束波长为A的平行单色光垂直入射到一单缝AB上,装置如图2.3-13。在屏幕上形成衍射图样,如果P是中央亮纹一侧第一个暗纹所在的位置,则AC的长度是()。
A:λ/2
B:λ
C:3λ/2
D:2λ
下列表达式符合或运算的运算规律是()。
A:0+0=0
B:0+1=1
C:1+0=0
D:1+1=0
图示平面桁架,则杆AB的内力应为()。
A:A
.P
B:B.-P(受压)
C:C.
D:D.-(受压)
某工程签订的钢材采购合同,由于条款内未约定交货地点,故运费未予明确,则供货商备齐钢材后,应()。
A:将钢材送到施工现场
B:将钢材送到发包人的办公所在地
C:将钢材送到发包人的仓库
D:通知发包人自提
在逻辑代数中,下列推断正确的是()。
A:如果A+B=A+C,则B=C
B:如果AB=AC,则B=C
C:如果A·A=1,则A=1
D:如果A+A=A,则A=1
同步触发器只有在同步信号到达时才按输入信号改变状态,通常把这个同步信号叫()。
A:时钟脉冲
B:时钟信号
C:CP
D:输入信号
在小接地电流系统中,某处发生单相接地时,母线电压互感器开口三角形的电压( )
A:故障点距母线越近,电压越高
B:故障点距母线越近,电压越低
C:不管距离远近,基本上电压一样高
物体由于受外界影响(如升商、变形等)而其有的能f称为( )。
A:动能
B:势能
C:机械能
D:惯能
低密度可编程器件的代表是()。
A:PLA
B:PAL
C:GAL
D:E
2
PROM
变压器的有功功率及无功功率的转换与功率因数有何关系?
三角函数可以用来表示光瞳为()的非相干成像系统的光学传递函数。
A:矩形
B:圆孔
C:其它形状
不影响截断时间的是()。
A:延时回路的时延
B:截断球隙
C:波头大小
D:触发延时
电阻式复合型和电阻式组合型有载调压装置有何区别?
GB/T6451-1999中规定,额定容量大于4000kVA,电压()的变压器应当测量吸收比。
A:35kV
B:10kV
C:110kV
D:220kV
欲使JK触发器按工作,可使JK触发器的输入端()。
A:J=K=1
B:J=Q,K=Q
C:J=K=0
D:J=1,K=0
设总体X服从指数分布,概率密度为()。其中λ未知。如果取得样本观察值为X1,X2,…,X,样本均值为X,则参数λ的极大似然估计是()。
A:x5
B:
C:n
D:
下列选项中体现了IPV4的局限性有哪些()。
A:地址危机
B:配置复杂
C:操作性差
D:易于实现
变压器带有局部放电测量的长时感应耐压试验带分接的绕组应该在主分接进行试验.( )
数据支持系统管理要促进发展需要考虑()。
A:了解数据发展趋势,预留系统空间满足增长
B:了解应用发展趋势,合理的备份恢复保障机制
C:标准规范对硬件的要求,确保重点应用的服务连续可用
D:标准规范对环境的要求,合理的备份保障机制
首页
<上一页
65
66
67
68
69
下一页>
尾页