自考题库
首页
所有科目
自考历年真题
考试分类
关于本站
游客
账号设置
退出登录
注册
登录
出自:基础考试
在进行地基基础设计时,哪些级别的建筑需要验算地基变形?()
A:甲级、乙级建筑
B:甲级、乙级、部分丙级建筑
C:所有建筑
D:甲级、部分乙级建筑
对某一量进行n次观测,则根据公式
求得的结果为下列中的哪种误差?( )
A:算术平均值中误差
B:观测值误差
C:算术平均值真误差
D:一次观测中误差
图示体系的自振频率为
,其稳态最大动力弯矩幅值为:()
A:3Pl
B:4.5Pl
C:8.54Pl
D:2Pl
某钢尺尺长方程式为l
t
=50.0044m+1.25×10
-5
×(t-20)×50m,在温度为31.4℃和标准拉力下量得均匀坡度两点间的距离为49.9062m,高差为-0.705m。则该两点间的实际水平距离为:()
A:49.904m
B:49.913m
C:49.923m
D:49.906m
一批砂的细度模数为2.9,应属()砂。
A:细
B:粗
C:中
D:特细
目前国内外应用最为普遍、技术发展最为成熟的地应力测试方法为()。
A:钻孔套心应力解除法
B:水压致裂法
C:地表应力恢复法
D:扁千斤顶法
E:地表应力解除法
静止油面(油面上为大气)下3m深度处的绝对压强为下列哪一项?()(油的密度为800kg/m
3
,当地大气压为100kPa)
A:3kPa
B:23.5kPa
C:102.4kPa
D:123.SkPa
在双缝装置实验中,当入射单色光的波长减小时,屏幕上干涉条纹的变化情况是:()
A:条纹变密并远离屏幕中心
B:条纹变密并靠近屏幕中心
C:条纹变宽并远离屏幕中心
D:条纹变宽并靠近屏幕中心
在20℃时,将7.50g葡萄糖(C
6
H
12
O
6
)溶于100g水中。该溶液的渗透压为:()
A:69.3Pa
B:1.02×10
3
kPa
C:1.02×10
3
Pa
D:69.3kPa
曲线上相应于x从0到1的一段弧的长度是()
A:A
B:B
C:C
D:D
极限
=( )。
A:3
B:9
C:27
D:81
叠加原理只适用于分析()电路的电压、电流问题。
A:无源
B:线性
C:非线性
D:不含电感、电容元件的
在软土地基中采用密集的钢筋混凝土预制桩,施工中可能产生下列()不利影响。
A:土体位移和地面隆起
B:可能产生负摩阻力
C:泥浆污染
D:对环境影响小
E:桩接头被拉断
图形截面对z
1
轴的惯性矩I
z1
为:()
A:A
B:B
C:C
D:D
ABCD为一块方解石的一个截面,AB为垂直于纸面的晶体平面与纸面的交线。光轴方向在纸面内且与AB成一锐角θ,如图所示。一束平行的单色自然光垂直于AB端面入射。在方解石内折射光分解为o光和e光,关于o光和e光的关系,下列叙述正确的是?()
A:传播方向相同,电场强度的振动方向互相垂直
B:传播方向相同,电场强度的振动方向不互相垂直
C:传播方向不同,电场强度的振动方向互相垂直
D:传播方向不同,电场强度的振动方向不互相垂直
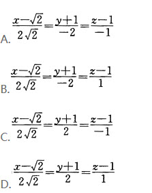
曲线z=x
2
-y
2
在点(
,-1,1)处的法线方程是()。
A:A
B:B
C:C
D:D
水准管分划值的大小与水准管纵向圆弧半径的关系是:()
A:成正比
B:成反比
C:无关
D:成平方比
地基基础设计、基坑支护及降水方案、地基验槽,都以()为依据。
A:相邻建筑物
B:地质勘查资料
C:工程附近管线和其他公共设施
D:相邻构筑物
对某投资项目进行敏感性分析,采用的评价指标为内部收益率,基准收益率为15%,基本方案的内部收益率为18%,对于不确定性因素销售收入,当销售收入降低10%,内部收益率为15%时,销售收入变化的临界点为:()
A:-10%
B:3%
C:10%
D:15%
土工合成材料老化评价方法之一是:规定材料在人工老化箱中照射一定时间后,其力学性能的降低不大于某百分率。
16位二进制数能表示的最大十进制整数为()。
A:66534
B:65535
C:65536
D:65537
下列溶液中,属缓冲体系的是()。
A:0.100mol·dm
-3
的NH
4
Cl溶液
B:0.100mol·dm
-3
的CH
3
COONa溶液
C:0.400mol·dm
-3
的HCl与0.200mol·dm
-3
的NH
3
等体积混合后的溶液
D:0.400mol·dm
-3
的NH
3
与0.200mol·dm
-3
的HCl等体积混合后的溶液
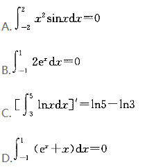
设f(x)在积分区间上连续,则
等于:()
A:-1
B:0
C:1
D:2
当三极管工作于放大状态时,它的()。
A:发射结和集电结都处于正偏置
B:发射结和集电结都处于反偏置
C:发射结处于反偏置,集电结处于正偏置
D:发射结处于正偏置,集电结处于反偏置
图示两结构中,以下四种弯矩关系中正确的为:()
A:A
B:B
C:C
D:D
下列化合物中,氢键表现最强的是()。
A:NH
3
B:H
2
O
C:HCl
D:HF
下列等式中哪一个成立?()
A:A
B:B
C:C
D:D
容器内储有一定量的理想气体,若保持容积不变,使气体的温度升高,则分子的平均碰撞次数
和平均自由程
的变化情况是:()
A:
增大,但
不变
B:
不变,但
增大
C:
和
都增大
D:
和
都不变
直线AB的正方位角
,则其反方位角
为:()
A:-225°25’48"
B:75°25’48"
C:104°34’12"
D:-104°34’12"
在一定温度条件下,已知0.10mol·dm
-3
某弱酸的解离度为0.010%,则其解离常数为()。
A:1.0×10
-5
B:1.0×10
-4
C:1.0×10
-6
D:1.0×10
-9
首页
<上一页
64
65
66
67
68
下一页>
尾页