自考题库
首页
所有科目
自考历年真题
考试分类
关于本站
游客
账号设置
退出登录
注册
登录
出自:基础考试
定积分
()
A:A
B:B
C:C
D:D
理想气体向真空做绝热膨胀,则:()
A:膨胀后,温度不变,压强减小
B:膨胀后,温度降低,压强减小
C:膨胀后,温度升高,压强减小
D:膨胀后,温度不变,压强升高
膨胀土中,引起土体胀缩最主要成分是()。
A:长石
B:伊利石
C:蒙脱石
D:高岭石
下列选项中,属于土工织物在工程中具有的功能有()
A:反滤功能
B:排水功能
C:隔离功能
D:加筋功能
E:防渗功能
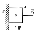
物块A重W=10N,被用水平力F
p
=50N挤压在粗糙的铅垂墙面B上,且处于平衡,块与墙间的摩擦系数=0.3,A与B间的摩擦力f大小为()。
A:F=15N
B:F=10N
C:F=3N
D:只依据所给条件则无法确定
下列物质中,键有极性,分子没有极性的是()。
A:H
2
O
B:CHCl
3
C:BF
3
D:PCl
3
某一圆形有压油管的直径为d=150mm,流速v=0.256m/s,长1km,雷诺数Re=1921,其沿程损失h
F
为:()
A:74.25cm油柱
B:74.25mH
2
O
C:95.26cm油柱
D:62.26m油柱
物块重力的大小为5kN,与水平面间的摩擦角为φ
m
=35°。今用与铅垂线成60°角的力P推动物块(如图所示),若P=5kN,则物块是否滑动?()
A:不动
B:滑动
C:处于临界状态
D:滑动与否无法确定
设真空中点电荷+q
1
和点电荷+q
2
相距2a,且q
2
=2q
1
,以+q
1
为中心、a为半径形成封闭球面,则通过该球面的电通量为()。
A:A
B:B
C:C
D:D
一定温度下,某反应的标准平衡常数
的数值:()
A:恒为常数,并与反应方程式的写法有关
B:由反应方程式的写法而定
C:由平衡浓度及平衡分压而定
D:由加入反应物的量而定
如果两个偏振片堆叠在一起,且偏振化方向之间夹角呈60°,假设二者对光无吸收,光强为I的自然光垂直入射在偏振片上,则出射光强为:()
A:A
B:B
C:C
D:D
一挡土墙高4m,墙背竖直、光滑,墙后填土面水平,填土为均质,c=10kPa,=20°,K
0
=0.66,γ=17kN/m
3
。若挡土墙没有位移,则作用在墙上土压力合力及其作用点位置为:()
A:h=1.33mE=89.76kN/m
B:h=1.33mE=52.64kN/m
C:h=1.33mE=80.64kN/m
D:h=2.67mE=52.64kN/m
动点沿半径R=5cm的圆周运动,其运动方程为S=2t(其中S以cm计,t以s计),则动点的加速度的大小为( )
A:A
B:B
C:C
D:D
由于含水率的变化而导致工程性质剧烈变化的特殊土的有()
A:膨胀土
B:湿陷性黄土
C:冻土
D:三色土
E:臌润土
《工程岩体分级标准>GB50218-94中规定围岩强度比R
c
/σ
zmax
值属于下列()范围为一般地应力。
A:大于7
B:4~7
C:小于4
D:小于2
国内测试岩体表面变形普遍试验方法是()。
A:承压板法
B:钻孔径向加压法
C:水压法
混凝土立方体抗压强度试件标准尺寸为()
A:10mm³ 10mm³ 10mm
B:15mm³ 15mm³ 15mm
C:20mm³ 20mm³ 20mm
D:7.07mm³ 7.07mm³ 7.07mm
熔融状态的物质,经急冷处理,凝固成固态,形成的结构为()
A:晶体结构
B:玻璃体结构
C:胶体结构
D:溶胶结构
某种理想气体的总分子数为N,分子速率分布函数为f(v),则速率在v
1
→v
2
区间内的分子数是:()
A:A
B:B
C:C
D:D
pH值改变时,电极电位改变的电对是()。
A:A
B:B
C:C
D:D
如图所示,长管并联管段1、2,两管段直径相等d
1
=d
2
,沿程阻力系数相等,长度L
1
=2
2
L。两管段的流量比Q
1
/Q
2
为:()
A:0.71
B:0.50
C:1.41
D:2.00
同心球形电容器,两极的半径分别为R
1
和R
2
(R
2
>R
1
),中间充满相对介电系数为ε
r
的均匀介质,则两极间场强的分布曲线为()。
A:
B:
C:
D:
已知质点沿半径为40m圆做圆周运动,其运动规律为:S=20t(S以cm计,t以s计)。若t=1s,则点的速度与加速度的大小为()。
A:20cm/s;10
cm/s
2
B:20c/ms;10cm/s
2
C:40cm/s;20cm/s
2
D:40cm/s;10cm/s
2
下列关于计算机系统硬件的说法
不正确
的是()。
A:CPU主要由运算器和控制器组成
B:关闭计算机电源后,RAM中的程序和数据就消失了
C:硬盘上的数据可由CPU直接存取
D:硬盘驱动器既属于输入设备,又属于输出设备
岩体地应力与埋藏深度的关系是()
A:随着深度的增加而减少
B:随着深度的增加而增大
C:与深度无关
D:随深度变化呈正态分布
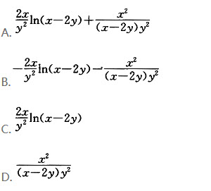
设函数z=u
2
lnv,而u=
,v=x-2y,则
=()。
A:A
B:B
C:C
D:D
两水平杆AB和CD用两根交叉链杆BF和DE相连,荷载和支撑情况如图所示,如果不计各杆自重,则链杆DE的内力为()。
A:S
DE
=100N,拉力
B:S
DE
=100N,压力
C:S
DE
=75N,拉力
D:S
DE
=75N,压力
岩石横波测试时,一般采用()耦合。
A:铝箔
B:凡士林
C:黄油
一铸铁梁如图所示,已知抗拉的许用应力[σ
t
]<抗压许用应力[σ
c
],则该梁截面的摆放方式应如何图所示?()
A:图A
B:图B
C:图C
D:图D
对于室温下的单原子分子理想气体,在等压膨胀的情况下,系统对外所做的功与从外界吸收的热量之比A/Q等于:()
A:1/3
B:1/4
C:2/5
D:2/7
首页
<上一页
63
64
65
66
67
下一页>
尾页