自考题库
首页
所有科目
自考历年真题
考试分类
关于本站
游客
账号设置
退出登录
注册
登录
出自:电气工程公共基础
半导体三极管用作开关元件时工作在哪两个区域()
A:饱和区和放大区
B:放大区和截止区
C:饱和区和截止区
D:集电区和发射区
站在电机侧的端面,面对风壳,风轮为顺时针旋转的风机是()风机。
A:右旋;
B:左旋;
C:左右旋;
D:不能判断
在输入量不变的情况下,如果引入反馈后(),则说明引入的反馈是负反馈.
A:输入电阻增大
B:输出量增大
C:净输入量增大
D:净输入量减小
用单色光观察牛顿环,测得某一暗环直径为3mm,在它外边第5个暗环直径为4.6mm,用平凸透镜的凸面曲率半径为1.0m,则此单色光的波长为()。
A:590nm
B:608nm
C:760nm
D:三个数据都不对
工业用纯铜的牌号是怎样划分的?电线、电缆所用铜是用什么牌号?
下列关于Teredor说法,错误的是()。
A:Teredor在主机间通过隧道传输IPV6数据包,解决了目前互联网边界和多层NAT配置6to4所面临的问题
B:Teredor将IPV6数据封装成IPV4UDP报文,以穿越NAT.
C:Teredor作为显示IPV6最后一种转换技术而设计
D:Teredor是一项IPV6转换技术,仅够实现在处于单个PV4NAT后的主机之间的IPV6自动隧道。
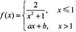
设函数
,可导,则必有()。
A:a=1,b=2
B:a=-1,b=2
C:a=1,b=0
D:a=-1,b=0
只有运动的流体才具有粘性。
吸收本领
器身大修时应检查哪些项目?
零序干燥的基本原理是什么?现场进行零序真空干燥时怎样保护器身?
简谐波
简述温升试验的目的?
若a,b是方程f(x)=0的两个相异的实根,f(x)在[a,b]上连续,且在(a,b)内可导,则方程f’(x)=0在(a,b)内().
A:只有一个根
B:至少有一个根
C:没有根
D:以上结论都不对
已知突扩前后管段的管径之比,则突扩前后断面平均流速之比()。
A:4
B:2
C:1
D:0.5
如图6-6所示,a、b两种液体,两种液体的体积密度之比为()。
A:0.6
B:0.7
C:0.8
D:0.9
系统应用
有两列频率不同的声波在空气中传播,已知频率ν1=500Hz的声波在其传播方向相距为,的两点的振动相位差为π,那么频率ν2=1000Hz的声波在其传播方向相距为ι/2的两点的相位差为()。
A:π/2
B:π
C:3π/4
D:3π/2
大华建筑公司承包中信科技有限公司的办公楼扩建项目,根据《建筑法》有关建筑工程发承包的有关规定,该公司可以()。
A:把工程转让给华民建筑公司
B:把工程分为土建工程和安装工程,分别转让给两家有相应资质的建筑公司
C:经中信科技有限公司同意,把内墙抹灰工程发包给别的建筑公司
D:经中信科技有限公司同意,把主体结构的施工发包给别的建筑公司
图示平面结构,受集中力P、匀布力q和力偶矩m作用,几何尺寸和各处约束如图示,则固定端C处的水平约束反力应为()。
A:
,向左
B:
,向左
C:
,向右
D:
,向右
水冷却变压器的油的温升是油顶层温度与环境温度的差.( )
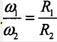
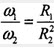
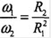
二摩擦轮如图4-51所示,则两轮的角速度与半径关系的表达式为()。
A:
B:
C:
D:
变压器二次侧突然短路时,短路电流大约是额定电流的()倍。
A:1~3;
B:4~6;
C:6~7;
D:10~25。
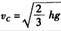
如图所示,两均质杆AC和BC各重P,长均为l,在C处以铰链连接,并置于光滑水平面上。C点的初始高度为h,两杆从静止开始在铅直面内落下,则铰链C到达地面C’时的速度vC为()。
A:
B:
C:
D:
发电机定子绕组单相接地时,故障相对低电压等于_________,中性点对地电压_________。
一卡诺致冷机在工作时,低温热源温度为-10℃,高温热源温度为11℃。若在一次循环中,外界对系统做功1000J,则系统从低温热源吸收的热量应为()。
A:-476J
B:524J
C:1.25×104J
D:1.35×104J
电力设备损坏,直接经济损失达1000万元者。生产设备、厂区建筑发生火灾,直接经济损失达100万元者。构成_________事故。
流体粘性的大小用哪几种粘度表示?
国务院和省、自治区、直辖市人民政府应当加强节能工作,合理调整产业结构、企业结构、产品结构和能源消费结构,推动企业(),淘汰落后的生产能力,改进能源的开发、加工、转换、输送、储存和供应,提高能源利用效率。
A:实行节能目标责任制
B:实行节能考核评价制度
C:实行能源效率标识管理
D:降低单位产值能耗和单位产品能耗
对TTL与门多余输入端的处理,正确的是()
A:接地
B:接电源
C:悬空
D:与使用端并联
首页
<上一页
63
64
65
66
67
下一页>
尾页