出自:初级中学教师资格证

练习达到一定程度,动作技能成绩会出现暂时停顿的现象叫()
A:起伏现象
B:地板现象
C:高原现象
D:平静现象
南京的“馒头”计划(政府出钱每天向人们免费发放一个“粗粮”馒头,预防高血压、高血脂等)实行一年多来,1.7万人参与,对各种慢性病的辅助治疗效果明显,参加的人越来越多,许多人的饮食观念也重新从“精”回归到“粗”。这不但有效地转变了市民的饮食观念,而且促进了人们的健康。据此回答下面问题。

第1题,共3个问题
(单选题)一般来讲,由于气候、地理等因素的影响,北方人习惯于吃粗粮,如小麦、高粱、红薯等,而南方人粗粮吃得少一些。近年来,由于受经济的发展、旅游业的繁荣、政府的倡导、人们的知识素养提高等因素的影响,南方人也注重吸收北方的饮食习惯的长处,有意识地多吃一些“粗粮”。这说明()。
A:南北的饮食习惯差别正在消灭
B:经济的发展与变化促进了文化的变革与融合
C:文化的交流将使地域文化逐渐消失
D:不同的地域文化各有其优点与缺点

第2题,共3个问题
(单选题)从传统文化的角度看,饮食方式属于()。
A:传统习俗
B:传统节日
C:传统思想
D:非物质文化遗产

第3题,共3个问题
(单选题)虽然南北方人的饮食习惯有交流融合的一面,但是,从南北方人的饮食习惯中人们还是可以把上海人、浙江人、北京人分得一清二楚。这反映了饮食文化的()。 ①民族性 ②地域性 ③相对稳定性 ④时代性 ⑤继承性
A:①②③⑤
B:②③④
C:①②③
D:②③⑤
德育中运用说服法要注意的要求不包括()
A:明确目的性
B:富有知识性、趣味性
C:以诚待人
D:坚持严格要求
(写作题)请以"做一名让学生喜欢的老师"为题,写一篇论述文。要求:观点明确,论述具体,条理清楚,语言流畅。不少于1000字。
以下生态系统中,自我调节能力最强的是()。
A:荒漠生态系统
B:森林生态系统
C:苔原生态系统
D:农田生态系统
2015年是西藏民主改革56周年。56年来,特别是党的十一届三中全会以来,在中国共产党正确领导和全国人民大力支持下,西藏各族干部群众团结奋斗,艰苦创业,使西藏的面貌发生了历史性变化。今天的西藏,经济发展、社会进步、文化繁荣、民生改善、民族团结、政通人和,正处于历史上最好的发展时期。从政治生活角度看,上述材料表明()①实行民族区域自治,有利于加强民族团结,实现各民族的共同繁荣②我国各民族已经实现了共同繁荣③我国各民族都应该实行民族区域自治④中国共产党的正确领导是加强民族团结和实现各民族共同繁荣的重要保证
A:①②
B:③④
C:①④
D:②③
皮亚杰将个体的认识发展划分的阶段包括()。
A:感知运算阶段
B:前运算阶段
C:具体运算阶段
D:形式运算阶段
E:抽象运算阶段
教学评价的评价标准不带随意性,评价方法不带偶然性,评价态度不带主观性。这就是要求教学评价具有()。
A:科学性
B:指导性
C:整体性
D:客观性
主张恢复古希腊重视美育的传统的是()者
A:行为主义
B:经院主义
C:科学主义
D:人文主义
思维的主要特征为()
A:间接性和概括性
B:分析性和概括性
C:间接性和整合性
D:分析性和整合性
《国家中长期教育改革和发展规划纲要(2010-2010年)》提出坚持()为本,()为先,()为重的战略主题。
A:以人;能力;德育
B:全面发展;德育;能力
C:以人;德育;能力
D:全面发展;德育;能力
在福建平潭综合实验区建设和发展过程中,要坚持经济建设与环境保护并重,实现经济可持续发展。以下建议符合上述要求的有()。 ①重点发展以高科技为特征的新兴产业 ②实验区建设以开发为主,注重经济效益 ③充分利用其丰富的风力资源,发展风电产业 ④把增加物质资源消耗作为其经济发展的主要方式
A:①③
B:①②
C:②④
D:③④
根据维果斯基的观点,教学必须要考虑学生已经达到的水平,而且任何教学也必须着眼于学生的已有水平。
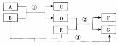
A~G表示初中化学常见的物质,它们之间的转化关系如下图所示(部分生成物已略去),其中A为金属氧化物,E、F为金属单质,且F为紫红色,化学反应②和③的基本反应类型相同。请按要求填空: (1)物质C的化学式为________. (2)写出反应②的一个化学方程式________. (3)反应③的基本反应类型是________. (4)E、F和氢由强到弱的金属活动性顺序为________.
化学概念是课程内容的重要组成部分,化学概念内容的书写要体现()的特点。
A:简便易记
B:直观性、关联性、发展性
C:合理性、直观性
D:简洁性、关联性
以下是某教师设计的作文题目,其中没有做到对学生进行想象作文训练的是()。
A:以《假如人类移居火星居住》为题进行写作
B:学习《我的叔叔于勒》之后,要求学生以"假如于勒发了财"为话题进行写作
C:针对学校食堂就餐秩序混乱问题,要求学生以食堂管理员身份拟写一篇整改通知书
D:以"假如人类不用吃饭"为话题进行写作
2013年3月5日,温家宝在第十二届全国人民代表大会第一次会议上作政府工作报告。报告开篇讲到:“现在,我代表国务院,向大会报告过去五年的政府工作,并对今年工作提出建议,请各位代表审议,并请全国政协委员提出意见。”这一开篇讲话体现出①人大与政府是上下级关系,人大领导政府②人大与政府是监督关系,人大监督政府③人大代表有审议权,参加行使国家权力④政协委员有决定权,参与国家事务管理()
A:①②
B:①③
C:②③
D:②④
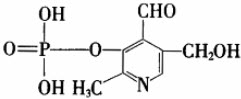
磷酸毗醛素是细胞的重要组成部分,可视为由磷酸形成的酯,其结构式如下,下列有关叙述不正确的是()。
A:能与金属钠反应
B:能使紫色石蕊试液变红
C:能发生银镜反应
D:1mol该酯与NaOH溶液反应,最多消耗3molNaOH
观摩教学可以分为组织化观摩和非组织化观摩。
FrontPage2003中,插入()可以在“插入”菜单中实现。
A:表格
B:表单
C:字幕
D:图片
运动技能形成过程的三个阶段是()。
A:认知与定向、练习形成阶段、自动化熟练阶段
B:自动化熟练阶段、练习形成阶段、认知与定向
C:认知与定向、自动化熟练阶段、练习形成阶段
D:练习形成阶段、认知与定向、自动化熟练阶段
Excel2003中,列宽的取值范围为()字符。
A:1~255
B:0~255
C:0~409
D:0~108
已知A={x|x>-1},那么正确的是()。
A:A
B:B
C:C
D:D
智慧城市是以智慧技术高度集成、智慧产业高端发展、智慧服务高效便民为主要特征的城市发展新模式。在建设“智慧城市”过程中,企业应该()①制定正确的经营战略②合理规划,加强宏观指导③提高自主创新能力,实现企业转型升级④面向市场开发新产品,提升产品的竞争力
A:①②③
B:①②④
C:①③④
D:②③④
导读莎士比亚《威尼斯商人》后,教师给学生推荐莎士比亚的其他喜剧作品,下列作品不适合推荐的是()。
A:《第十二夜》
B:《仲夏夜之梦》
C:《罗密欧与朱丽叶》
D:《驯悍记》

背景材料:
好的新课导入,快速有效地抓住学生的注意力,将学生的情绪引入到课堂教学中来,调动学习的积极性,很快地进入到课堂学习的氛围中来,提高课堂效率。以下是《氮肥的性质及应用》课堂的导入:教师:刚才上课问好的声音很响亮,同学们应该是没人饿着肚子来上课的吧。现在生活水平提高了,物质生活比过去丰富了很多,我们来看看过去世界上粮食产量的情况。学生惊叹。



第1题,共1个问题
(简答题)问题: (1)硝酸铵(NH4NO3)是一种常见的氮肥,硝酸铵的相对分子质量为____。 (2)硝酸铵中氮元素、氢元素、氧元素的质量比为____。 (3)某花卉基地需要配制100kg10%的硝酸铵溶液,基地的实验室中现有200kg5%的硝酸铵溶液和50kg30%的硝酸铵溶液,若选用这两种溶液混合配制,应该如何进行? (4)请你对上述导入进行评价。
中美双方就汇率问题交换意见,美方尊重中国关于汇率制度的自主权,理解中方要根据自身的利益,综合考虑世界经济形势的情况和中国经济自身的发展态势,自主决定中国汇率改革的具体措施。这说明我国在当代国际社会中()。 ①坚定地维护自己的国家利益 ②坚持独立自主的基本立场 ③是维护世界和平的积极因素和坚定力量 ④是促进世界经济发展的重要力量
A:①②③
B:②③④
C:①②④
D:①③④
简述课程的意义和作用。
根据使用的主要教学方法,课可以分为()
A:单一课
B:讲授课
C:演示课
D:练习课
E:复习课
黄老师能够把所学的教育教学理论与现实问题联系起来,并能够有意识地分析自己的得失,在成功或失败中获取经验。但她还不能有效地处理保育活动中的突发情况,也不知该如何树立自己的威信。虽然黄老师工作很认真,但效果并不是太好,处理问题的缺乏灵活性,也缺乏一定的责任感。根据伯林纳的观点,黄老师的专业发展处于()。
A:高级新手阶段
B:胜任阶段
C:熟练阶段
D:专家阶段