出自:初级中学教师资格证

体谅模式具有鲜明的人本主义色彩,不具有行为主义倾向。
青少年身心发展的基本规律有( )。
A:顺序性与阶段性
B:特殊认识过程
C:发展不均衡性
D:个别差异性
E:民主平等
创新能力的培养是素质教育的重点。
何种迁移理论认为迁移是具体的,而非一般的?( )
A:形式训练说
B:共同要素说
C:经验类化说
D:关系转换说
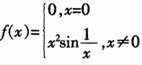
下列函数在x=0处可导的是()。
A:y=
B:
C:
D:y=
25℃时,用浓度为0.1000mol/L的NaOH溶液滴定20.00mL浓度均为0.1000mol/L的三种酸HX、HY、HZ,滴定曲线如图所示。下列说法不正确的是()。
A:在相同温度下,同浓度的三种酸溶液的导电能力顺序:HZ>HY>HX
B:根据滴定曲线,可得Ka(HY)≈10-5
C:将上述HX、HY溶液等体积混合后,用NaOH溶液滴定至HX恰好完全反应时:c(Y-)>c(X-)>c(OH-)>c(H+
D:HY与HZ混合,达到平衡时:
加强学校文化建设,对全面推进素质教育和提高办学效益起着关键作用。
如图所示,一个质点沿两个半径为R的半圆弧由A运动到C,规定向右方向为正方向,在此过程中,它的位移大小和路程分别为()。
A:4R,2πR
B:4R,-2πR
C:-4R,2πR
D:-4R,-2πR
下列可以分泌生长激素的是()。
A:甲状腺
B:腺垂体
C:松果体
D:肾上腺

印度尼西亚是世界上最大的群岛国家,河流众多而短小,渔业资源丰富。根据下列材料,结合所学知识,完成下列各题。材料一印度尼西亚地理位置示意图。

材料二爪哇岛地处板块边界上。北部是平原。南部是熔岩高原和山地,山间多宽广盆地,是世界上雷雨最多、土壤最肥沃、人口密度最高的地区之一。



第1题,共3个问题
(简答题)爪哇岛是世界上雷雨最多的地区之一,其原因是什么?

第2题,共3个问题
(简答题)分析印度尼西亚渔业资源丰富的自然原因。

第3题,共3个问题
(简答题)简述爪哇岛种植业可持续发展的主要措施。
一般来说,元认知策略可分为()。
A:复述策略
B:精细加工策略
C:计划策略
D:监视策略
E:调节策略
()是一种带有共鸣器的木琴。它发音宽厚,余音较长,琴板下面有用各种果壳、葫芦或罐头盒、长方形木盒等做的共鸣体,演奏时声音由琴板传到共鸣体上,产生出一种特殊的共鸣效果。
A:马林巴
B:竖琴
C:姆比拉
D:音条琴
长方体的一个顶点上的三条棱分别是3、4、5,且它的八个顶点都在同一球面上,这个球的表面积是()。
A:20
B:25
C:50π
D:200π
下列动物不属于澳大利亚的特有动物的是()
A:鸸鹋
B:卷尾猴
C:袋鼠
D:鸭嘴兽
简述青少年心理发展的特点。
简述专家型教师与新教师课堂教学过程的差异?
近年来南阳市市某县创造性地提出了“支部加协会(经济合作组织)”为“龙头”、“党员加农户”为主体、“产业加基地”为生产方式的科学运行体系,走出了一条基层党建工作与农村发展互融互促的新路子,形成了“以党建促发展、以发展兴党建”的发展新格局,促进了经济社会的持续快速发展。党建“三加”模式①是解决传统农村信息化专业化程度低的根本措施②成为破解农村发展难题、拉动农村经济发展的强力引擎③是我党科学执政、民主执政的必由之路④是提升我国农村基层治理能力的有效途径()
A:①②
B:③④
C:②④
D:①③
梁实秋在《过年》一文中曾回忆道,早在民国建立前一两年,家中除岁方式已然做了“维新”。“我不再奉派出去挨门磕头拜年。我从此不再是磕头虫儿。”促使春节习俗变化的主要原因是()
A:辛亥革命使民主共和观念深入人心
B:西方民主思潮的影响
C:民国政府移风易俗,废除陋习
D:新文化运动的影响
课题:“因特网信息的查找”本节主要内容介绍:①常用网络信息搜索的方法。②利用搜索引擎获取网络信息检索的策略与技巧。教学对象:高中一年级学生教学环境:多媒体教室根据上述材料完成下列题目:(1)完成教材分析。(2)确定本节课的教学重难点。(3)简要设计教学过程。
由于一个学生进步明显,老师取消了对他的处分,这属于()
A:正强化
B:负强化
C:奖励
D:惩罚
下列各项符合元代手工业发展状况的是()
A:冶铁业使用灌钢法
B:形成南青北白两大制瓷系统
C:推广了棉纺织技术
D:民营手工业超过官营手工业
唐中期历史学家杜佑在《通典·选举典》中写道:“进士者时共贵之,主司褒贬,实在诗赋„„故士林鲜国体之论,其弊一也„„所用非所习者也,故当官少称职之吏。”这表明作者认为唐朝进士科的弊端在于()
A:重视文才,轻视德行
B:脱离现实,学不致用
C:注重门第,多不称职
D:重视诗赋,无法选才
遗忘的发展是不均衡的,其规律是先快后慢,呈( )。
A:正加速型
B:零加速型
C:负加速型
D:倒“U”型
学生在学习弹奏钢琴曲的练习中,当练习到一定阶段时,常会感到自己的进步似乎停了,这种现象属技能学习中的()。
A:高原现象
B:倒摄抑制
C:生理极限
D:及时反馈
提出“教师即反思性实践者”观点的是()。
A:布鲁纳
B:布鲁姆
C:舍恩
D:杜威
古埃及设置最多的学校是( )
A:文法学校
B:琴弦学校
C:文士学校
D:骑士学校
教师的职业角色有哪些?
教育心理学发展阶段中,开始形成完整的现代教育心理学体系的时期是()
A:初创时期
B:鼎盛时期
C:发展时期
D:过渡时期
他们在天上,愿为一颗星。他们在地上,愿为一盏灯。不怕显得多么渺小,只要尽其可能。唯因不被承认才格外勇敢真诚,即使像眼泪一样跌碎,敏感的大地处处仍有持久而悠远的回声。——舒婷《献给我的同代人》这段优美的话语()①发挥了首创精神,肯定了主观能动性在人们成功道路上的积极作用②陶冶了人的情操,丰富了人的精神世界,增强了人的精神力量③如理性的明灯,指明了社会主义文化建设的前进方向④似春雨般润物,激励人们塑造美好人生
A:①②
B:②③
C:②④
D:③④
教育心理学研究表明.新的学习需要可以通过两条途径来形成,利用( )主要应考虑的就是如何使学生原有学习需要得到满足。
A:直接发生途径
B:直接转化途径
C:问接发生途径
D:问接转化途张