自考题库
首页
所有科目
自考历年真题
考试分类
关于本站
游客
账号设置
退出登录
注册
登录
出自:计算机科学
For循环中如果省略步长,表示步长为1。
以下需要经常清洗的鼠标是()。
A:有线光电式鼠标
B:机械式鼠标
C:无线光电式鼠标
D:光机式鼠标
如图所示,要使左上方的黄玫瑰变成右下方的粉红玫瑰,而且色彩保持一定的层次感,请问,用“图像>调整”菜单下的哪个命令可以实现?()
A:渐变映射
B:色相/饱和度
C:色彩平衡
D:替换颜色
在Photoshop中,下列哪个选项是修复画笔工具的功能()
A:模拟毛笔的效果绘制图像
B:利用前景色充填颜色
C:绘制路径
D:借用定义好的样点像素值覆盖要修复的画面
延伸命令的缩写是“EX”。
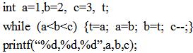
下述程序段的运行结果是()。
A:1,2,0
B:2,1,0
C:1,2,1
D:2,1,1
要给一段落前加上编号,正确的命令是()。
A:图一
B:图二
C:图三
D:选择[格式]->[项目符号和编号]命令
人类不可缺少的资源有()。
A:信息、能量、知识
B:信息、物质、知识
C:信息、物质、能量
D:物质、能量、知识
如果信息在传输过程中被篡改,则破坏了信息的()
A:可审性
B:完整性
C:保密性
D:可用性
索引的类型有()和非聚集索引。
当用copy命令操作时,若指定的 文件在指定驱动器中找不到,屏幕上会显示()
A:Disk boot failure
B:File cannot copied onto itself
C:File not found
D:Bad command or file name
在Word 2002格式中,以下说法正确的是()。
A:可以调整行间距,不能调整字符间距
B:可以调整字符间距,不能调整行间距
C:行间距和字符间距均不能调整
D:行间距和字符间距均可调整
以下的程序用来输出100到200间不能被3整除的数字,请补充完该程序。()
下面程序的输出是() fun3(intx) staticinta=3; a+=x; return(a);} main() {intk=2,m=1,n; n=fun3(k); n=fun3(m); printf("%d/n",n);}
A:3
B:4
C:6
D:9
在工具箱中,在标准模式下编辑(Editin Standard Mode)与在快速蒙版模式下编辑(Editin Quick Mask Mode)切换的快捷键是()。
A:D
B:X
C:Q
D:F
从室外进来的电话线应当和()连接。
A:计算机串口
B:计算机并口
C:调制解调器上标有Phone的接口
D:调制解调器上标有Line的接口
()可以在窗体上绘制一个半径为1000的圆。
A:Form1.Circle (1000, 1000), 1000
B:Line (1000, 1000)-(2000, 2000)
C:Point 1000,1000
D:Pset 1000,1000
沿路径排布的文字输入工具时可以是开放路径,也可以是闭合路径。
TCP使用三次握手方法建立连接。
在创建索引时,索引表达式可以包含一个或多个表字段。在下列数据类型的字段中,不能作为索引表达式的字段为()
A:日期型
B:字符型
C:备注型
D:数值型
计算机图像可分为()、()。
下面说法
不正确
的是()
A:恢复的基本思想是提高系统的安全性,杜绝故障发生
B:日志记录了数据的所有更新信息
C:数据库主要通过登记日志和数据转储来建立冗余数据
D:恢复的基本思想是建立冗余数据
MAYA中删除选中物体的方式有()
A:Edit Delete
B:Delete
C:Back Space
D:Select All
路由故障检测常用命令()
A:Trancert
B:telnet
C:ping
D:ftp
硬布线器的设计方法是:先画出()的流程图,再利用流程图找出()并写出(),然后用()等器件实现。
试述关系数据库系统中视图(VIEW)的定义,引进VIEW的概念有什么优点?
Tool Book属于以页式或卡片为基础的创作工具。
命令“LINK TEST;”连接成功后生成正确的文件名是()。
A:TEST.ASM
B:TEST.EXE
C:TEST.OBJ
D:TEST.LIB
下列关于格式属性的叙述中,正确的是()
A:格式属性影响字段在表中存储的内容
B:可在需要控制数据的输入格式时选用
C:可在需要控制数据的显示格式时选用
D:可以设置自动编号型字段的格式属性
编写一个程序,分别使用字节流和字符流拷贝个文本文件。
首页
<上一页
636
637
638
639
640
下一页>
尾页