自考题库
首页
所有科目
自考历年真题
考试分类
关于本站
游客
账号设置
退出登录
注册
登录
出自:基础考试
图示流量Q=36L/s的水平射流,被垂直于流向的水平平板阻挡,截去流量Q
1
=12L/s,并引起其余部分射流向左偏转,不计阻力,则偏转角θ为:()
A:20°
B:30°
C:40°
D:45°
土工合成材料渗透系数检测中,最终计算的渗透系数为水温()°C。
A:18
B:20
C:22
D:25
波长λ=550nm(1nm=10
-9
m)的单色光垂直入射于光栅常数为2×10
-4
cm的平面衍射光栅上,可能观察到光谱线的最大级次为:()
A:2
B:3
C:4
D:5
已知氯电极的标准电势为1.358V,当氯离子浓度为0.1mol.L
-1
氯气分压为0.1×100kPa时,该电极的电极电势为:()
A:1.358V
B:1.328V
C:1.388V
D:1.417V
影响混凝土与岩体接触面抗剪强度的主要因素有()。
A:试件尺寸
B:基岩面起伏差
C:混凝土抗压强度
D:岩体结构类型
D触发器的应用电路如图所示,设输出Q的初值为0,那么,在时钟脉冲cp的作用下,输出Q为()。
A:1
B:cp
C:脉冲信号,频率为时钟脉冲频率的1/2
D:0
RL正弦交流串联电路如图所示,已知电流表读数为1A,电压表读数为8V,R=6Ω,端口电压U=()V。
A:10
B:12
C:14
D:16
测得某六边形内角和为720°00’54",则内角和的真误差和每个角的改正数分别为:()
A:+54"、+9"
B:-54"、+9"
C:+54"、-9"
D:-54"、-9"
低应变法桩身完整性检测实心桩时,传感器在()
A:中心
B:边缘
C:中心与边缘之间离中心1/3
D:中心与边缘之间离边1/3
图示桁架在P作用下的内力如图所示,EA=常数,此时C点的水平位移为:()
A:A
B:B
C:C
D:D
城域网是介于广域网与局域网之间的一种高速网络。城域网设计的目标是要满足几十公里范围内的大量企业、机关、公司的()。Ⅰ.多个计算机互联的需求Ⅱ.多个局域网互联的需求Ⅲ.多个广域网互联的需求Ⅳ.多个SDH网互联的需求
A:Ⅰ
B:Ⅱ
C:Ⅰ和Ⅲ
D:Ⅰ和Ⅳ
低碳钢试件受拉时,下列中哪个叙述是正确的?()
A:σ<σ
s
时,σ=Eε成立
B:σ<σ
b
时,σ=Eε成立
C:σ<σ
p
时,σ=Eε成立
D:σ<σ
0.2
时,σ=Eε成立
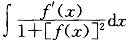
不定积分
等于:( )
A:A
B:B
C:C
D:D
轻型动力触探适用于()填土。
A:粘性素填土
B:冲填土
C:粗粒填土
用液塑限联合测定仪测试土的塑限,规范规定的液限标准为76g的锥入土深度17mm时的含水率。
岩体破坏的形式主要是拉破坏和剪切破坏。
下列各组物质中,只用水就能鉴别的一组物质是:()
A:苯乙酸四氯化碳
B:乙醇乙醛乙酸
C:乙醛乙二醇硝基苯
D:甲醇乙醇甘油
三相四线制电路中,A相电源电压
,照明负载接成星形,A相接有220V,40W白炽灯10只,B相和C相分别接有同样的白炽灯20只、15只,B相的电流IB等于()A。
A:A
B:B
C:C
D:D
图示结构受一对等值、反向、共线的力作用,自重不计,铰支座A的反力F
A
的作用线应该是:()
A:F
A
沿铅直线
B:F
A
沿A、B连线
C:F
A
沿A、C连线
D:F
A
平行于B、C连线
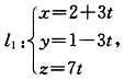
求直线
直线
则L1与L2()
A:平行
B:垂直
C:夹角为
D:夹角为
直剪摩擦试验规定了土与土工织物或土工膜之间界面摩擦阻力的方法,通过该试验可以计算出剪切强度和界面摩擦系数。
价值工程的核心是()。
A:功能分析
B:提高产品价值
C:成本分析
D:选择对象
计算机硬件能够直接识别的语言是()。
A:自然语言
B:高级语言
C:机器语言
D:汇编语言
已知正弦交流电压的频率f=50Hz,初相位角φ=30°,在t=0时的瞬时值u(0)=100V,则该正弦电压的瞬时值表达式为()。
A:100sin(50t+30°)
B:141.4sin(50πt)
C:200sin(100πt+30°)
D:200sin(50πt+30°)
软弱下卧层承载力验算应满足的要求为:()
A:p
z
≤f
az
B:p
z
+p
cz
≤f
az
C:p
z
≥f
az
D:p
z
+pp
cz
≥f
az
如图所示。角焊缝在P的作用下,最危险的点是()。
A:a、b点
B:b、d点
C:c、d点
D:a、c点
如果土工合成材料的测试是破坏性的,则只能采用全部产品进行测试。
水准仪应满足的主要条件是()。
A:圆水准轴平行于纵轴
B:水准管轴平行于视准轴
C:横丝垂直于纵轴
D:横轴垂直于视准轴
规程建议采用以相邻两次读数差值除以前后相邻两级压力下的读数差值等于5%作为岩体变形试验时的变形稳定标准。
一定温度下,某反应的标准平衡常数
的数值()。
A:恒为常数,并与反应方程式的写法有关
B:由反应方程式的写法而定
C:随平衡浓度及平衡分压而定
D:由加入反应物的量而定
首页
<上一页
61
62
63
64
65
下一页>
尾页