自考题库
首页
所有科目
自考历年真题
考试分类
关于本站
游客
账号设置
退出登录
注册
登录
出自:初级中学教师资格证
古代有关“丧葬传统”的观点有:一、“丧礼,君与父母、妻、后子死,三年丧服„„或以不丧之间,诵《诗》三百,弦《诗》三百,歌《诗》三百,舞《诗》三百。”二、“厚葬久丧,重为棺椁,多为衣衾,送死若徙,三年哭泣,扶后起,杖后行,耳无闻,目无见,此足以丧天下。”据此判断以下符合材料的观点为()
A:两种观点分别为儒家和法家思想
B:两种观点都反映的是下层民众的立场
C:两种观点都主张厚葬久葬
D:两种观点都着眼于“礼”的社会功能
传统教育中()教学的弊端,就是教师简单地将自己的理解强加给学生,剥夺了学生思维、选择和尝试的权利。
A:“注入式”
B:“填鸭式”
C:“启发式”
D:“引导式”
以下是一位初中语文教师为《夏感》一课设计的几个问题,阅读并回答问题。问题一:文章题目叫夏感,找出文中集中表现作者对夏天感受的一个句子。追问:作者赞美的夏天是怎样一个夏天呢?文章中哪里可以看出,如何体会?问题二:一般夏天是绿色的或深绿色的,那作者为什么用"金黄"这个词语来形容夏天呢?追问:作者写了哪些景物,你感受到了什么?从人们的繁忙中你感受到了什么?问题三:在作者眼里,夏天是热烈、紧张、急促的,作者要赞美它们什么呢?问题四:作者既赞美了自然之夏,也赞美了生命之夏。在文章中,又写到了"扑打扑打"与"快割快割"。据此,作者还要赞美什么?
第1题,共1个问题
(简答题)请认真阅读以上问题,然后结合相关理论进行评析。
个人理想主要包括()
A:道德理想
B:社会理想
C:幻想
D:职业理想
E:生活理想
关系数据表是一种()。
A:概念模型
B:单维表
C:E-R图
D:二维表
一个人把对某人的感情转移到另一个人身上的心理现象,叫()
A:认同
B:移植
C:投射
D:回归
在秦汉时期的三公九卿制中,政府官员明显有皇帝家仆的性质;唐朝的三省六部制,把皇帝家仆正规化、权力化;明清时期取消丞相制,皇帝直接指挥六部,把家族式统治扩大到整个国家机器。这一变化过程体现的古代中国政治的发展趋势是()
A:公天下意识不断加强
B:中央集权不断强化
C:“家天下”意识不断强化
D:皇帝治理国家的能力不断下降
造成学生心理个别差异的原因是( )。
A:遗传
B:人际关系
C:社会环境
D:学校教育
教师在课堂教学中帮助学生制定适当的学习目标,提供学习策略的指导,并且为学生创造良好的教学环境,这集中体现了教师的何种角色?()。
A:合作者
B:促进性
C:管理者
D:反思者
“是时„„彼脱拉Pctraryue言拉丁文必为将来统一之世界语,而巴克Pogge责但丁不以拉丁文著书,朴加斯Boccace言诗才美术当以古典为宗,马基雅维利Machiavel之卫队,俱服罗马之古装。”下列出自这一时期的名言是()
A:人是万物的尺度
B:我自己是凡人,我只要凡人的幸福
C:我不同意你说的每一个字,但我愿意誓死捍卫你说话的权利
D:人不是他人的工具,而是自身的目的
第一部正式以教育心理学来命名的教育心理学著作《教育心理学》,其作者卡普捷烈夫的国籍是()。
A:俄国
B:法国
C:美国
D:英国
个体倾向于利用自己身体或内部参照作为信息加工依据的学习风格是()
A:冲动型
B:反思型
C:场依存型
D:场独立型
心智技能的特点有()。
A:观念性
B:展开性
C:内潜性
D:简缩性
E:物质性
随着新中国的成立和经济建设的大规模展开,民主政治建设成为迫切需要解决的问题,中国共产党根据国情确定了中国特色社会主义的政治制度,其中最根本的是()。
A:人民代表大会制度
B:中共领导下的多党合作和政治协商制度
C:民族区域自治制度
D:村民民主自治制度
读下列材料,完成下列各题。《寡人之于国也》原文梁惠王曰:“寡人之于国也,尽心焉耳矣。河内凶,则移其民于河东,移其粟于河内。河东凶亦然。察邻国之政,无如寡人之用心者。邻国之民不加少,寡人之民不加多,何也?”孟子对曰:“王好战,请以战喻。填然鼓之,兵刃既接,弃甲曳兵而走,或百步而后止,或五十步而后止。以五十步笑百步,则何如?”曰:“不可。直不百步耳,是亦走也。”曰:“王如知此,则无望民之多于邻国也。不违农时,谷不可胜食也。数罟不入洿池,鱼鳖不可胜食也。斧斤以时入山林,材木不可胜用也。谷与鱼鳖不可胜食,材木不可胜用,是使民养生丧死无憾也。养生丧死无憾,王道之始也。五亩之宅,树之以桑,五十者可以衣帛矣。鸡豚狗彘之畜,无失其时,七十者可以食肉矣;百亩之田,勿夺其时,数口之家可以无饥矣;谨庠序之教,申之以孝悌之义,颁白者不负戴于道路矣。七十者衣帛食肉,黎民不饥不寒,然而不王者,未之有也。狗彘食人食而不知检,涂有饿莩而不知发。人死,则曰:‘非我也,岁也。’是何异于刺人而杀之,曰:‘非我也,兵也。’王无罪岁,斯天下之民至焉。”课文介绍该课文为人教版高中语文必修(3)第三单元第八课,同单元的选文还有《劝学》《过秦论》《师说》。单元导语这个单元学习古代议论性散文。这些散文中,有议论治国得失的,有总结军事经验的,有讨论学习和人才培养的。聆听其中的济世忠告,感受古人的襟抱与睿智,我们能更加深刻地体会到传统文化思想的宝贵。阅读这些充满智慧的篇章,还可以借鉴古人议论的艺术,学会清晰有力地表达思想和见解。阅读时要多琢磨文章立论的方法,注意其严密周详的论证逻辑,以及由此而产生的说服力量。同时,还应当有点质疑问难的精神,大胆提出问题,探究问题,从而提高思考能力和议论能力。《普通高中语文课程标准(实验)》的相关规定学习中国古代优秀作品,体会其中蕴涵的中华民族精神,为形成一定的经济文化底蕴奠定基础,学习从历史发展的角度理解古代文学的内容价值,从中汲取民族智慧;用现代观念审视作品,评价其积极意义与历史局限。阅读浅易文言文,能借助注释和工具书,理解词句含义,读懂文章内容,了解并树立常见文言文实词、文言文虚词、文言句式或用法,注重在阅读实践中举一反三,诵读古代诗词和文言文,背诵一定数量的名篇。课时安排两课时学生情况高二年级第一学期,班额50人教学条件教室配有多媒体设备,能够演示PPT,播放视频、音频文件,能够投影实物 问题:1.根据上述材料,确定本篇课文的教学目标并说明依据。2.依据教学目标设计本篇课文第一课时的教学过程,简要说明每个环节的教学内容和教学方式。3.请为本文设计两道拓展题,并附上参考答案。
身体运动的构成要素有哪些?
遗传素质为人的发展提供了()。
A:现实性
B:必然性
C:方向性
D:可能性
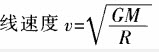
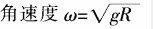
质量为m的探月航天器在接近月球表面的轨道上飞行,其运动视为匀速圆周运动。已知月球质量为M,月球半径为R,月球表面重力加速度为g,引力常量为G,不考虑月球自转的影响,则下列说法错误的是()
A:
B:
C:
D:
访谈法是教育研究中的下列哪一层次()。
A:研究方法论
B:研究方式
C:研究方法
D:都不是
上课铃响了,王老师拿着课本轻快地走上讲台,开始上课。当课上到十分钟左右时,两位学生突然打了起来。在劝阻无效的情况下,王老师只好将课停下来,要求他们到外面去打。两位学生收起了“手”改用“口”,开始互相辱骂对方。王老师说自己是科任老师,此类事情请他们找班主任解决。 那个似乎受了委屈的学生对王老师的话不以为然,出口说道:“你这是什么老师?”这下王老师生气了,喝道:“给我出去!”可是学生就是不动,王老师便动手去拉学生,学生死死地拉着课桌,坚决不出去。王老师非常愤怒,说:“好,你不出去我就不上课!”于是,双方进一步僵持起来。 问题: 你如何看待王老师和两位学生的言行?
教师之间要“谦虚谨慎,尊重同志,相互学习,相互帮助,维护其他教师在学生中的威信。关心集体,维护学校荣誉,共创文明校风”。这是师德教育的( )。
A:“双赢”协作原则
B:和平共处原则
C:自觉性原则
D:实践性原则
盛夏酷暑,几只口干舌燥的狐狸来到一片葡萄园。一串串又大又紫、晶莹剔透的葡萄挂满枝 头。众狐狸馋涎欲滴,急不可耐地急相跃起。无奈葡萄架太高,哥儿几个使尽浑身解数,葡 萄依然可望不可及。 第一只狐狸跳了几下摘不到,从附近找来一个梯子,爬上去满载而归。 第二只狐狸跳了多次仍吃不到,找遍四周,没有任何工具可以利用,笑了笑说:“这里的葡 萄一定特别酸!”于是,心安理得地走了。 第三只狐狸高喊着“下定决心,不怕万难,吃不到葡萄死不瞑目”的口号,一次又一次跳个 没完,最后累死在葡萄架下。 第四只狐狸因为吃不到葡萄整天闷闷不乐,抑郁成疾,不治而亡。 第五只狐狸想:“连个葡萄都吃不到,活着还有什么意义呀!”于是找个树藤上吊了。 第六只狐狸吃不到葡萄便破口大骂,被路人一棒子了却性命。 第七只狐狸抱着“我得不到的东西也决不让别人得到”的阴暗心理,一把火把葡萄园烧了, 遭到其他狐狸的共同围剿。 第八只狐狸想从第一只狐狸那里偷、骗、抢些葡萄,也受到了严厉惩罚。 第九只狐狸因为吃不到葡萄气极发疯,蓬头垢面,口中念念有词:“吃葡萄不吐葡萄皮…… ”另有几只狐狸来到一个更高的葡萄架下,经过友好协商,利用叠罗汉的方法,成果共享 ,皆大欢喜!
第1题,共3个问题
(单选题)第二只狐狸使用的是哪一种心理防御机制?()
A:合理化
B:投射
C:退行
D:幻想
第2题,共3个问题
(单选题)关于心理防御机制,说法
不正确
的是?()
A:心理防御机制能在一定程度上减轻个体的压力,有利于保持心理平衡
B:心理防御机制全都是起消极作用的
C:经常地使用消极的心理防御机制,可以使个体形成自卑、退缩的性格
D:未雨绸缪是一种积极的心理防御
第3题,共3个问题
(单选题)从应对挫折的角度来讲,这些狐狸表现出的应对方法
不包括
()。
A:冷漠
B:敌对
C:自责
D:偏执
斯大林格勒战役①是歼敌最多的战役,②改变了苏德战场的形势,③巩固并发展了世界反法西斯同盟,④促使法西斯集团内部的瓦解()
A:①②③
B:②③④
C:①②④
D:①②③④
请以"直线与平面平行的判定"为课题,完成下列教学设计。 (1)教学目标 (2)本节课的教学重、难点 (3)写出新课引入和新知探究、巩固、应用等及设计意图
【课题名称】《新时代》 【教学内容】 ①《走进新时代》 ②《你是这样的人》 ③《祖国颂》 【教学目标】 (1)情感、态度与价值观:欣赏《走进新时代》《祖国颂》《你是这样的人》,联系教材所学过的所有作品.懂得音乐的社会性--音乐的社会功能。 (2)过程与方法:让学生自主收集整理有关合唱艺术的相关资料(文字、音响),在课上进行展示与交流.在课堂上亲身体验、感受合唱音乐的风格、特点,并了解我国合唱艺术的发展史及艺术价值。 (3)知识与技能:引导学生用积极乐观向上的态度进行歌唱,教师引导学生在进行审美体验的基础上学习知识技能,让学生知道,知识与技能永远是为表现音乐情感服务的。 【教学重点与难点】从高中的音乐教学角度看,采用合唱这种音乐表现形式,对学生来说,增大了学生参与学习的几率,使众多的学生从中受益。通过艺术实践,教师要特别注重引导学生感受、体验音乐作品,让学生了解合唱音乐的特点,更多地发挥其引导、启发、促进学生提高音乐审美能力的作用。 【教学过程】 (一)听辨导入 (1)对比聆听:①独唱《走进新时代》;②合唱《走进新时代》。 师:请大家分辨同一首歌曲采用不同的演唱形式而产生的效果上的差别。 (2)对比欣赏美声(戴玉强)和通俗(刘欢)两种唱法演唱《你是这样的人》(注:整曲结构“AABABA”)。 师:该歌曲是电视纪录片《百年恩来》的主题歌,为纪念周总理诞辰100周年而作,是歌颂伟人--周总理的颂歌,歌曲情感含蓄、深沉,令人荡气回肠。请同学们说出同一首歌曲采取不同唱法的效果有何不同,并简单谈谈感受。 (3)对合唱曲《祖国颂》(乔羽词,刘炽曲)进行介绍:①说出聆听的感受;②学唱主题音乐,进一步体验歌曲的结构、内涵及风格特点;③引导学生总结不同时期作品的历史意义。 师:合唱是具有丰富艺术表现力的音乐艺术形式;“什么是合唱艺术”;“合唱艺术的特点是什么”。 (二)学生的交流①学生展示各自的作业(课件及音响资料)并互相进行交流。②由课代表主持,选出代表进行展示:关于合唱艺术的起源、发展,每个历史时期的代表人物及相关作品,以及它们的风格特点。 (三)艺术实践(重点作品的艺术实践) (1)学生分成两个声部,课前由各声部组长做辅导,学生共同体验、感受合唱的特殊的艺术魅力。 重点作品的分析: 《走进新时代》作于1997年中国共产党“十五大”前,歌曲以抒情而优美的旋律,动听而婉转的音调,抒发了中国人民于世纪之交,在继往开来的领路人带领下,豪迈地走进新时代的情怀。 歌曲为二段体结构,每个乐段由四个乐句组成,结构完整。歌曲采用民族五声宫调式,以第一人称--我(我们)展开,倍感亲切。 (2)教师带领学生分段学唱歌曲。 (教师示范演唱,学生边领会边演唱) 在演唱中,教师要引导学生体验:在“继往开来的领路人”带领下豪迈地走进新时代的激情。 第一乐段是叙述性的直白--“总想对你表白……让我告诉世界……”表达我们豪迈的心情以及对生活的热爱,曲调婉转起伏,娓娓动听,演唱中若将装饰音唱出来,更为曲调增添了明快的色彩。 第二乐段旋律基本上在高声区流动,情绪更为激动,并与第一乐段形成对比,歌词中先后以“东方红”“春天的故事”唱喻我党的第一代、第二代--以毛泽东和邓小平为核心的领导人带领中国人民进行社会主义建设事业,以江泽民为核心的第三代领导人继往开来,把改革开放事业推向前进,歌词中“向”“迈”“界”“宰”“诉”“事”等字,在唱的时候要适度抬起软腭,注意整句的力度变化,渐强、渐弱要处理得明显,尤其是第二段高潮部分,要把豪迈的激情充分表达出来。 欣赏:播放“三大男高音”--帕瓦罗蒂、多明戈、卡雷拉斯的演唱片段。 师:在鉴赏中让学生认识个性化声音的价值,引导学生根据不同的嗓音条件、按不同的音色及演唱能力,组合成多种演唱形式,如:独唱、重唱、小组唱等,这不仅是对高中生个性表现能力与合作表现能力的培养,也是合唱所达不到的另一种艺术效果。 (3)让学生体验、感受合唱作品的同时,教师着重在情感、态度与价值观上进行提示,在音乐的社会功能上进行引导、点拨,适当进行研讨。 (四)研讨问题(组长主持) 专题1:音乐与人类生活有什么关系? (1)第一组组长引导同学阐述音乐在生活中的作用,如音乐可以用于健身、广告背景等。(若时间充沛.可播放他们课前准备好的音像资料片段) (2)教师点评:音乐来源于生活,又能反作用于生活。 专题2:音乐是怎样为人类生活服务的? (1)第二组组长引导同学讨论音乐能点缀人类生活,如音乐可以伴舞、烘托影视剧的气氛等。(若时间充沛.可播放他们课前准备好的音像资料片段) (2)教师点评:当音乐的情绪与生活场景的气氛吻合时,音乐就能烘托这个场景。 专题3:列举与生活有关的音乐。 (1)第三组组长引导同学列举生活中的音乐,如队列、迎送、婚丧、商场、汽车、公园等。(可播放他们准备好的音像资料) (2)教师判断其准确性。 专题4:生活中的音乐有哪些类别与社会功能? 第四组组长引导同学讨论实用性的音乐类别与其相对应的社会功能。 如:①礼仪音乐:进场、升旗、生日;②影视音乐:电影、电视、戏剧;③背景音乐:午餐、公园、商场;④伴奏音乐:健身、舞蹈等。 (五)课堂总结这节课.我们认识到音乐是有着深远意义和明确目的的实践活动,它不仅在漫长的历史长河中有高度的发展,还在广阔的社会生活中起了多方面的作用。与此同时,我们学习了合唱的相关文化知识,认识到实用性的音乐类别与其相对应的社会功能,并进行了艺术实践的体验与感受。更重要的是,同学们在老师的引导下,自主探究、合作学习,初步掌握了一些演唱技巧和发声方法,在无伴奏的前提下,能够把握好节奏、音准,而且善于总结,并实际运用。同时,我们学习音乐不仅是为了学会唱歌,通过这节课,同学们也可以发掘歌曲内在的审美内涵,把握不同的艺术风格,这是一种较高层次的艺术体验。在课外拓展与探究性研究学习中,大家可以利用本课学到的知识、技巧和方法,把本学期自己喜欢的所有歌曲组合起来,合作策划一场综合性声乐专场音乐会,展示个人特长,让自己的音乐学习水平迈上一个新的台阶!
春秋战国时期诸子百家著述各异。墨子主张国家应“节用”,不要浪费。孟子强调让农民有一定的土地,不侵犯农民的劳动时间。商鞅主张“废井田,开阡陌”。对于以上三位学者的主张,以下说法正确的是()
A:三者立论相同,都站在维护统治者利益的立场上
B:三者立论相同,都维护了农民阶级的利益
C:三者立论互异,但都是以精耕细作的小农经济为考虑点
D:三者立论互异,且不是以精耕细作的小农经济为考虑点
《广陵散》是()。
A:古琴曲
B:古筝曲
C:琵琶曲
D:二胡曲
下列人格测验属于投射式测验的是()。
A:卡特尔16种人格因素测验
B:艾森克人格问卷
C:明尼苏达多项人格测验
D:主题统觉测验
中央和省市领导人多次强调,一定要慎用警力、慎用警械武器、慎用强制措施,决不能动不动就把公安政法机关推到第一线,更不能用专政的手段来对待人民群众。之所以强调不能用专政的手段来对待人民群众,是因为()①社会主义民主是全民的民主②民主制国家不能使用专政手段③人民民主专政的本质是人民当家作主④人民民主专政对极少数敌对分子实行专政,对人民实行民主
A:①②
B:②③
C:①③
D:③④
小明将一个苹果从距凸透镜一倍焦距处沿主光轴移到距凸透镜4倍焦距处时,则苹果所成的像的大小为()。
A:不变
B:逐渐减小
C:先变大后变小
D:先变小后变大
首页
<上一页
610
611
612
613
614
下一页>
尾页