自考题库
首页
所有科目
自考历年真题
考试分类
关于本站
游客
账号设置
退出登录
注册
登录
出自:电气工程公共基础
某项目向银行借贷一笔资金,按月计息,月利率为1.2%,则年名义利率和年实际利率分别为()。
A:13.53%和14.40%
B:13.53%和15.39%
C:14.40%和15.39%
D:14.40%和15.62%
_______断线时,可不停用母差保护,但应立即处理。
电阻分压器的测量误差主要由于电阻绕制过程中的漏感所造成。
两偏振片叠放在一起,欲使一束垂直入射的线偏振光经过这两个偏振片后振动方向转过90°,且使出射光强尽可能大,则入射光的振动方向与前后二偏振片的偏振化方向夹角分别为()。
A:45°和90°
B:0°和90°
C:30°和90°
D:60°和90°
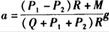
如图所示,升降机皮带轮C上作用一常力矩M,被提升重物A的重量为P1,平衡锤B的重量为P2,皮带轮C、D的半径均为R,重量均为Q,均为均质圆柱体。不计皮带质量,则重物A的加速度为()。
A:
B:
C:
D:
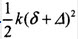
如图4-70所示,常数为k的弹簧下挂一质量为m的物体,若物体从静平衡位置(设静伸长为δ)下降△距离,则弹性力所做的功为()。
A:
B:
C:
D:
下面4个幅频特性中,具有带阻特性的是()。
A:
B:
C:
D:
已知有压管路中突扩前后管段管径之比,则雷诺数之比()。
A:0.25
B:0.5
C:1.0
D:2.0
某投资项目,预计产品的出厂价为(含税)3万元/t,销售量为4000t。外购原料、燃料等费用为2800万元(含税),若预计产品全部售出,增值税税率为17%,则所需缴纳增值税额为()万元。
A:406.84
B:1336.75
C:1564.00
D:1743.59
用来判断电路全部输入中“1”的个数奇偶性的电路称为()。
A:触发器
B:计数器
C:数据选择器
D:奇偶校验器
强迫油循环风冷却器检修后,必须进行油压试漏,试验压力为()kPa。
A:50~100;
B:200~300;
C:100~150;
D:150~200。
下列选项中,哪一项不是软件开发的典型症状()。
A:不能满足用户需求
B:系统难以维护
C:用户全是无理要求
D:不能按时交付
能实现数字量到模拟量转换的器件有()。
A:DAC0832
B:ADC0832
C:DAC1210
D:ICL7107
应急联动系统主要基于哪两个系统构建的()。
A:以公共服务系统,工作业务应用系统构建的
B:以物业运营管理系统,无限局域网络系统为基础
C:以建筑设备监控系统,公共区域照明系统为基础
D:以火灾自动报警系统,安全技术防范系统为基础
相关是两个信号之间存在多少相似性的量度。两个完全不同的,毫无关系的信号,对所有位置,它们互相关的结果应该为()
A:0
B:无穷大
C:其它
组合逻辑电路按照集成度可分为()。
A:SSI
B:MSI
C:LSI
D:VLSI
单相重合闸:是指线路上发生_________故障时,保护动作只跳开故障相的断路器,然后进行单相重合。
财务生存能力分析中,财务生存的必要条件是()。
A:拥有足够的经营净现金流量
B:各年累计盈余资金不出现负值
C:适度的资产负债率
D:项目资本金净利润率高于同行业的净利润率参考值
对变压器进行工频耐压试验时,其内部发生放电有什么现象?
设a,b,c均为向量,下列等式中正确的是().
A:(a+B.·(a-B.=
B:(a·B.2=
C:C.(a+×(a-B.=a×a-b×b
D:D.(a·a=
《建设工程安全生产管理条例》规定,勘察单位应当按照法律、法规和工程建设强制性标准进行勘察,提供的勘察文件应当(),满足建设工程安全生产的需要。
A:真实、准确
B:真实、完整
C:完整、准确
D:完整、正确
下列选项中,哪一项不是POS技术的优点()。
A:宽带的利用率高
B:模型扩展性好
C:省略了ATM层,简化了网络结构,降低了运行成本
D:能够提高较好的Qos
根据国务院2011年发布的《关于印发进一步鼓励软件产业和集成电路产业发展若干政策的通知》文件中对于集成电路生产企业研究开发政策的说法正确的是()。
A:充分利用多种资金渠道,进一步加大对科技创新的支撑力度
B:鼓励软件企业和集成电路企业建立产学研用结合的产来技术创新战略联盟,促进产业链同发展
C:鼓励软件企业大力开发软件测试和评价技术,完善相关标准,提升软件研发能力,提高软件质量,加强品牌建设,增强产品竞争力
D:发挥国家科技重大专项的引导作用,大力支持软件和集成电路重大关键技术的研发。
工程监理单位应当审查()是否符合建设工程强制性标准。
A:施工图设计文件中的安全技术措施或者专项施工方案
B:施工组织设计中的安全技术措施或者专项施工方案
C:施工图设计文件中的预防生产安全事故的措施及其救援预案
D:施工组织设计中的安全技术措施和安全事故应急救援预案
什么是铁磁材料的磁化现象?
有一电源,额定功率125kw,端电压为220V,看只接一盏220V、60W的电灯,问此灯会不会烧毁为什么?
用显微镜和天文望远镜观察物体时,你注意过像的正倒吗?请你通过判断,选择以下正确的说法()
A:用显微镜观察时像是正立的,用天文望远镜观察时像是倒立的
B:用显微镜观察时像是倒立的,用天文望远镜观察时像是正立的
C:用显微镜和天文望远镜观察到的像都是正立的
D:用显微镜和天文望远镜观察到的像都是倒立的
计算机网络按通信距离和作用范围划分为()。
A:局域网,城域网,广域网
B:广域网,有线网,无限网
C:X.25网,ATM网
D:环形网,星形网,树形网,混合网
直流正极接地有造成保护_________的可能,直流负极接地有造成保护_________的可能
在一密闭容器中,储有A、B、C三种理想气体,处于平衡状态。A种气体的分子数密度为n1,它产生的压强为p1,B种气体的分子数密度为2n1,C种气体的分子数密度为3n1,则混合气体的压强p应为()。
A:3p1
B:4p1
C:5p1
D:6p1
首页
<上一页
59
60
61
62
63
下一页>
尾页